آخر تحديث :
27/11/2025
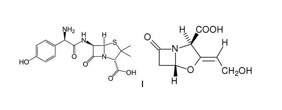
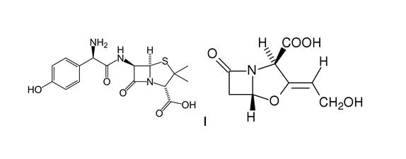
مضاد حيوي   Amoxicillin sodium / clavulanic acid  
عن طريق الفم
حقن
استقرار المستحضرات الصيدلانية استقرار مخاليط العوامل التي تؤثر على الاستقرار التوافق مراجع pdf
   التركيب الكيميائي  

عن طريق الفم
استقرار مخاليط   عن طريق الفم     استقرار مخاليط : Amoxicillin sodium / clavulanic acid     
لا توجد بيانات

  Mentions Légales