viimane versioon :
18/03/2026
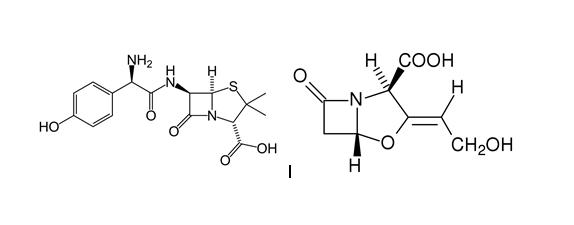
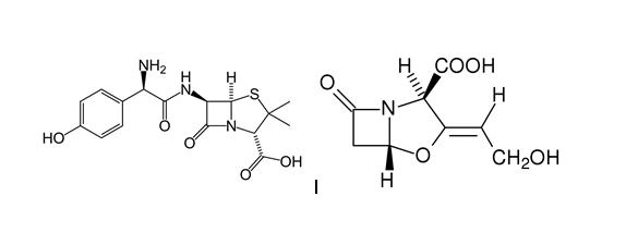
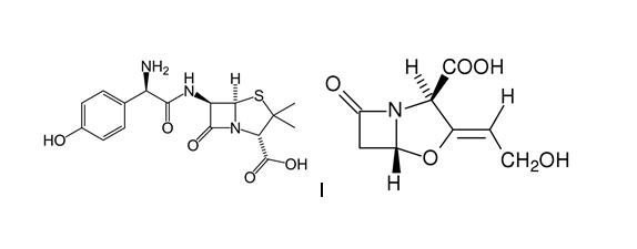
antibiootikum   Amoxicillin sodium / clavulanic acid  
suukaudne lahus
Süsteravim
Stabiilsust ravimpreparaadid Stabiilsust mõjutavad tegurid stabiilsust mõjutavad faktorid Sobimatus Viited pdf
   keemiline struktuur  

suukaudne lahus
Stabiilsust mõjutavad tegurid   suukaudne lahus   Stabiilsust mõjutavad tegurid : Amoxicillin sodium / clavulanic acid     
andmed puuduvad

  Mentions Légales