Ultimo aggiornamento :
27/11/2025
Antibiotico   Amoxicillin sodium / clavulanic acid  
Soluzione orale
Iniezione
Stabilità dei preparati farmaceutici Stabilità in miscela Fattori che influenzano la stabilità Compatibilità Bibliografia pdf
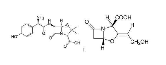
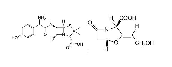
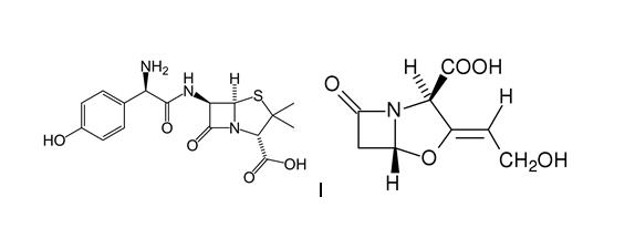
   Struttura chimica  

Soluzione orale
Stabilità in miscela   Soluzione orale   Stabilità in miscela : Amoxicillin sodium / clavulanic acid     
Assenza di dati

  Mentions Légales