Poslední aktualizace :
05/12/2025
Antibiotikas   Amoxicillin sodium / clavulanic acid  
Geriamas tirpalas
Įpurškimas
Stabilumas farmacinių preparatų Mišinių stabilumas Stabilumą lemiantys veiksniai Suderinamumas Bibliografija pdf
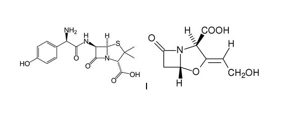
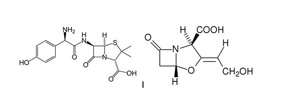
   Cheminė sandara  

Geriamas tirpalas
Mišinių stabilumas   Geriamas tirpalas   Mišinių stabilumas : Amoxicillin sodium / clavulanic acid     
Nėra duomenų

  Mentions Légales