Zadnji put ažurirano :
18/03/2026
antibiotik   Amoxicillin sodium / clavulanic acid  
oralna otopina
injekcija
Stabilnost farmaceutskih pripravaka Stabilnost mješavine Stabilizacijski faktor Kompatibilnosti Bibliografija pdf
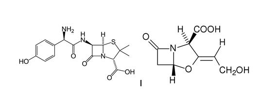
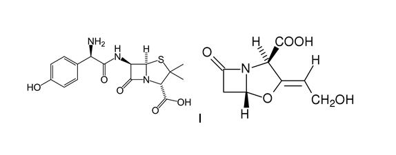
   Kemijska struktura  

oralna otopina
Stabilnost mješavine   oralna otopina     Stabilnost mješavine : Amoxicillin sodium / clavulanic acid     
bez podataka

  Mentions Légales