Poslední aktualizace :
27/11/2025
Antibiotikas   Amoxicillin sodium / clavulanic acid  
Geriamas tirpalas
Įpurškimas
Stabilumas farmacinių preparatų Mišinių stabilumas Stabilumą lemiantys veiksniai Suderinamumas Bibliografija pdf
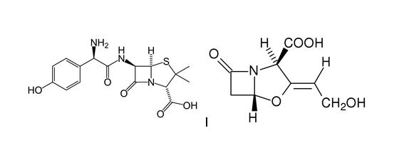
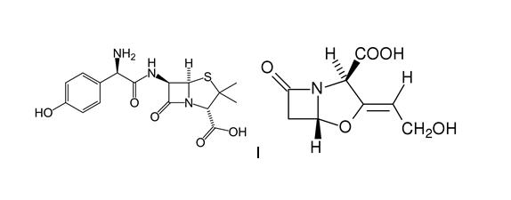
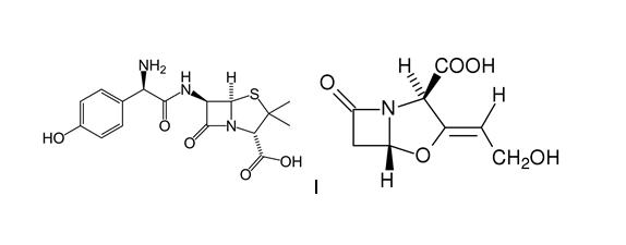
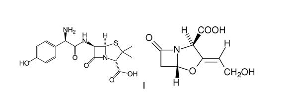
   Cheminė sandara  

Geriamas tirpalas
Stabilumas farmacinių preparatų   Geriamas tirpalas   Stabilumas farmacinių preparatų : Amoxicillin sodium / clavulanic acid     
Pakuotė Origine Ekscipientas Temperatūra Laikymas Stabilumo trukmė Nuorodos
Plastikinis butelis Milteliai 125/31,25 mg
Augmentin®
Išvalytas vanduo 134 mL
25°C Nenurodyta
7 Diena
2508

Plastikinis butelis Milteliai 250/62,5 mg
Augmentin®
Išvalytas vanduo 130 mL
25°C Nenurodyta
7 Diena
2508

Plastikinis butelis Milteliai 125/31,25 mg
Augmentin®
Išvalytas vanduo 134 mL
5°C Nenurodyta
10 Diena
2508

Plastikinis butelis Milteliai 250/62,5 mg
Augmentin®
Išvalytas vanduo 130 mL
5°C Nenurodyta
10 Diena
2508

Nenurodyta Milteliai 5 g/1.25 g
Augmentin®
Distiliuotas vanduo >> 100 ml
8°C Nenurodyta
7 Diena
2951


  Mentions Légales