Останнє оновлення :
27/11/2025
Антибіотик   Amoxicillin sodium / clavulanic acid  
Розчин для перорального застосування
ін'єкція
Стабільність фармацевтичних препаратів Стійкість сумішей Фактори, що впливають на стабільність Сумісність Список літератури pdf
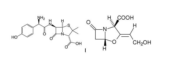
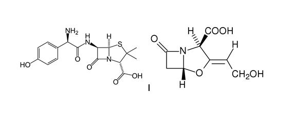
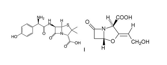
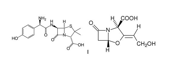
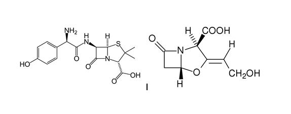
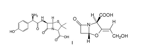
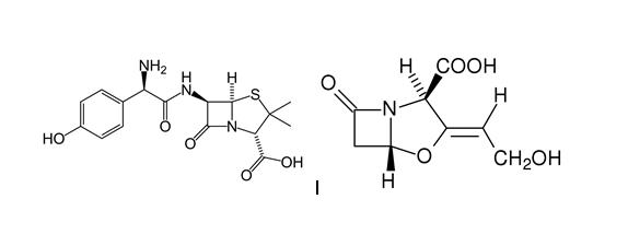
   Хімічна структура  

Розчин для перорального застосування
Стабільність фармацевтичних препаратів   Розчин для перорального застосування   Стабільність фармацевтичних препаратів : Amoxicillin sodium / clavulanic acid     
Контейнер Origine допоміжна речовина температура Зберігання Тривалість стабільності Список літератури
пластикова пляшка powder 125/31,25 mg
Augmentin®
Очищена вода 134 mL
25°C Не визначено
7 День
2508

пластикова пляшка powder 250/62,5 mg
Augmentin®
Очищена вода 130 mL
25°C Не визначено
7 День
2508

пластикова пляшка powder 125/31,25 mg
Augmentin®
Очищена вода 134 mL
5°C Не визначено
10 День
2508

пластикова пляшка powder 250/62,5 mg
Augmentin®
Очищена вода 130 mL
5°C Не визначено
10 День
2508

Не визначено powder 5 g/1.25 g
Augmentin®
Дистильована вода >> 100 ml
8°C Не визначено
7 День
2951


  Mentions Légales