Cập nhật lần cuối :
27/11/2025
Kháng sinh   Amoxicillin sodium / clavulanic acid  
Dung dịch uống
Dạng tiêm
Tính ổn định của các chế phẩm Độ ổn định khi trộn lẫn Những yếu tố ảnh hưởng đến độ ổn định Khả năng tương thích Tài liệu tham khảo Pdf
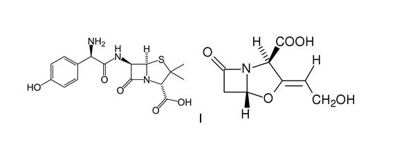
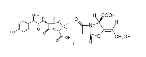
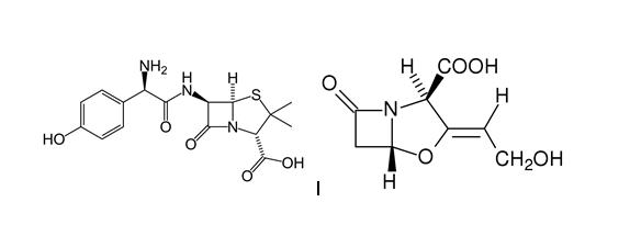
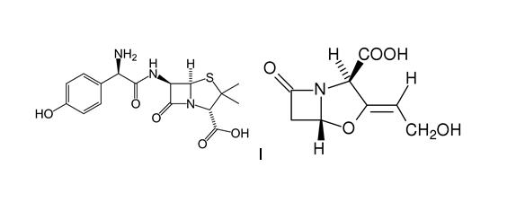
   Cấu trúc hóa học  

Dung dịch uống
Tính ổn định của các chế phẩm   Dung dịch uống   Tính ổn định của các chế phẩm : Amoxicillin sodium / clavulanic acid     
Bao bì Nguyên bản Tá dược Nhiệt độ Bảo quản Thời gian ổn định Mục lục
Lọ nhựa Bột 125/31,25 mg
Augmentin®
Nước tinh khiết 134 mL
25°C Không rõ
7 Ngày
2508

Lọ nhựa Bột 250/62,5 mg
Augmentin®
Nước tinh khiết 130 mL
25°C Không rõ
7 Ngày
2508

Lọ nhựa Bột 125/31,25 mg
Augmentin®
Nước tinh khiết 134 mL
5°C Không rõ
10 Ngày
2508

Lọ nhựa Bột 250/62,5 mg
Augmentin®
Nước tinh khiết 130 mL
5°C Không rõ
10 Ngày
2508

Không rõ Bột 5 g/1.25 g
Augmentin®
Nước cất >> 100 ml
8°C Không rõ
7 Ngày
2951


  Mentions Légales