Последно актуализиране :
27/11/2025
Антибиотик   Amoxicillin sodium / clavulanic acid  
Орален разтвор
Инжекция/Инжекционен
Стабилност на лекарствени препарати Стабилност на смеси Фактори, повлияващи стабилността Съвместимост Библиография Pdf
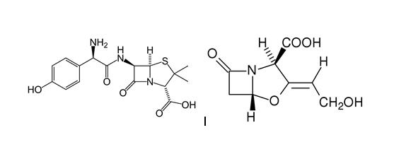
   Химична структура  

Орален разтвор
Стабилност на лекарствени препарати   Орален разтвор   Стабилност на лекарствени препарати : Amoxicillin sodium / clavulanic acid     
Контейнер Origine Помощно вещество Температура Съхранение Продължителност на стабилността Библиография
Пластмасова бутилка Прах 125/31,25 mg
Augmentin®
Пречистена вода 134 mL
25°C Не е уточнено
7 Ден
2508

Пластмасова бутилка Прах 250/62,5 mg
Augmentin®
Пречистена вода 130 mL
25°C Не е уточнено
7 Ден
2508

Пластмасова бутилка Прах 125/31,25 mg
Augmentin®
Пречистена вода 134 mL
5°C Не е уточнено
10 Ден
2508

Пластмасова бутилка Прах 250/62,5 mg
Augmentin®
Пречистена вода 130 mL
5°C Не е уточнено
10 Ден
2508

Не е уточнено Прах 5 g/1.25 g
Augmentin®
Дестилирана вода >> 100 ml
8°C Не е уточнено
7 Ден
2951


  Mentions Légales