Viimeisin päivitys :
18/03/2026
Antibiootit   Amoxicillin sodium / clavulanic acid  
Oraaliliuos
Injektioneste
Vakaus lääkevalmisteen Stabilius seoksissa Tekijät, jotka vaikuttavat stabiliuteen Yhteensopivuus Viitteet pdf
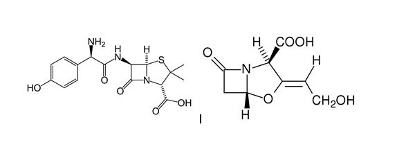
   Kemiallinen rakenne  

Oraaliliuos
Vakaus lääkevalmisteen   Oraaliliuos   Vakaus lääkevalmisteen : Amoxicillin sodium / clavulanic acid     
Astia Origine Apuaine Lämpötila Säilytys Vakauden kesto Viitteet
Muovipullo Jauhe 125/31,25 mg
Augmentin®
Puhdistettu vesi 134 mL
25°C Ei määritetty
7 Päivä
2508

Muovipullo Jauhe 250/62,5 mg
Augmentin®
Puhdistettu vesi 130 mL
25°C Ei määritetty
7 Päivä
2508

Muovipullo Jauhe 125/31,25 mg
Augmentin®
Puhdistettu vesi 134 mL
5°C Ei määritetty
10 Päivä
2508

Muovipullo Jauhe 250/62,5 mg
Augmentin®
Puhdistettu vesi 130 mL
5°C Ei määritetty
10 Päivä
2508

Ei määritetty Jauhe 5 g/1.25 g
Augmentin®
Tislattu vesi >> 100 ml
8°C Ei määritetty
7 Päivä
2951


  Mentions Légales