最新更新 :
18/03/2026
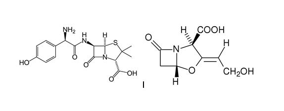
抗生素   Amoxicillin sodium / clavulanic acid  
口服剂
注射液
制剂的稳定性 混合物稳定性 影响稳定性的因素 兼容性 引用文献 PDF
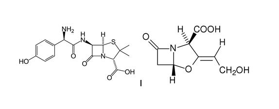
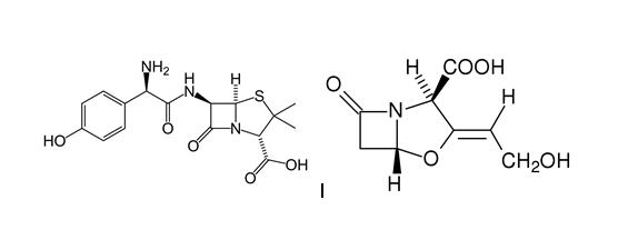
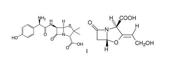
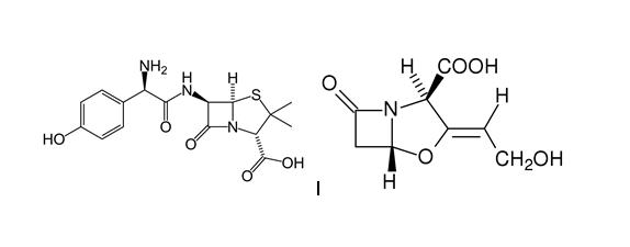
   化学式  

口服剂
制剂的稳定性   口服剂   制剂的稳定性 : Amoxicillin sodium / clavulanic acid     
容器 Origine 添加剂 温度 保存 穩定持續時間 引用文献
塑料瓶 粉剂 125/31,25 mg
Augmentin®
净化水 134 mL
25°C 无特殊要求
7 白天
2508

塑料瓶 粉剂 250/62,5 mg
Augmentin®
净化水 130 mL
25°C 无特殊要求
7 白天
2508

塑料瓶 粉剂 125/31,25 mg
Augmentin®
净化水 134 mL
5°C 无特殊要求
10 白天
2508

塑料瓶 粉剂 250/62,5 mg
Augmentin®
净化水 130 mL
5°C 无特殊要求
10 白天
2508

不详 粉剂 5 g/1.25 g
Augmentin®
蒸馏水 >> 100 ml
8°C 无特殊要求
7 白天
2951


  Mentions Légales