viimane versioon :
27/11/2025
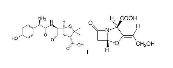
antibiootikum   Amoxicillin sodium / clavulanic acid  
suukaudne lahus
Süsteravim
Stabiilsust ravimpreparaadid Stabiilsust mõjutavad tegurid stabiilsust mõjutavad faktorid Sobimatus Viited pdf
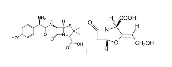
   keemiline struktuur  

suukaudne lahus
Stabiilsust ravimpreparaadid   suukaudne lahus   Stabiilsust ravimpreparaadid : Amoxicillin sodium / clavulanic acid     
konteiner Origine  abiaine temperatuur ladustamine Stabiilsuse kestus Viited
Plastikpudel pulber 125/31,25 mg
Augmentin®
Puhastatud vesi 134 mL
25°C pole täpsustatud
7 päev
2508

Plastikpudel pulber 250/62,5 mg
Augmentin®
Puhastatud vesi 130 mL
25°C pole täpsustatud
7 päev
2508

Plastikpudel pulber 125/31,25 mg
Augmentin®
Puhastatud vesi 134 mL
5°C pole täpsustatud
10 päev
2508

Plastikpudel pulber 250/62,5 mg
Augmentin®
Puhastatud vesi 130 mL
5°C pole täpsustatud
10 päev
2508

pole täpsustatud pulber 5 g/1.25 g
Augmentin®
destilleeritud vesi >> 100 ml
8°C pole täpsustatud
7 päev
2951


  Mentions Légales