Ostatnia aktualizacja :
18/03/2026
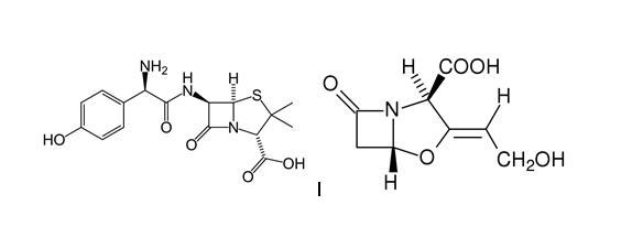
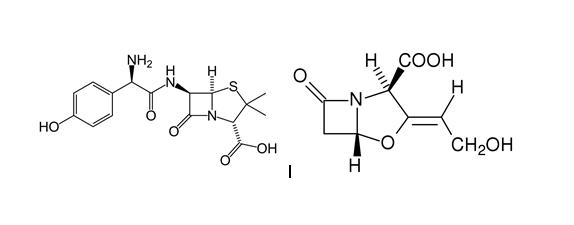
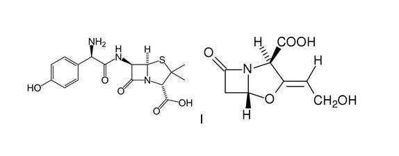
Antybiotyk   Amoxicillin sodium / clavulanic acid  
Roztwór doustny
Injekcje
Stabilność preparatów farmaceutycznych Trwałość w mieszaninie Czynnik wpływający na trwałość Zgodność Bibliografia pdf
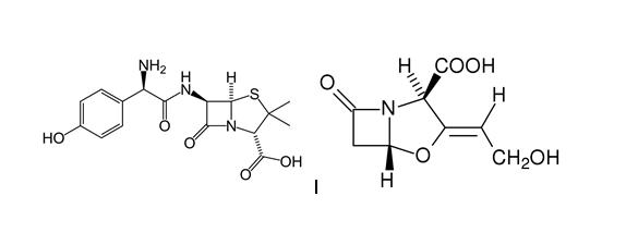
   Struktura chemiczna  

Roztwór doustny
Stabilność preparatów farmaceutycznych   Roztwór doustny   Stabilność preparatów farmaceutycznych : Amoxicillin sodium / clavulanic acid     
Pojemnik Origine Substancja pomocniczna Temperatura Przechowywanie Czas trwania stabilności Bibliografia
Butelka plastikowa Proszek 125/31,25 mg
Augmentin®
Woda oczyszczona 134 mL
25°C Nie wyszczególniony
7 Dzień
2508

Butelka plastikowa Proszek 250/62,5 mg
Augmentin®
Woda oczyszczona 130 mL
25°C Nie wyszczególniony
7 Dzień
2508

Butelka plastikowa Proszek 125/31,25 mg
Augmentin®
Woda oczyszczona 134 mL
5°C Nie wyszczególniony
10 Dzień
2508

Butelka plastikowa Proszek 250/62,5 mg
Augmentin®
Woda oczyszczona 130 mL
5°C Nie wyszczególniony
10 Dzień
2508

Brak informacji Proszek 5 g/1.25 g
Augmentin®
Woda destylowana >> 100 ml
8°C Nie wyszczególniony
7 Dzień
2951


  Mentions Légales