Senaste uppdateringen :
18/03/2026
Immunsuppressivum   Ciclosporin  
Oral lösning
injektion ögondroppar Salvor
Stabilitet av läkemedel Stabilitet i blandningar Faktorer som påverkar stabiliteten Kompatibilitet Hänvisningar pdf
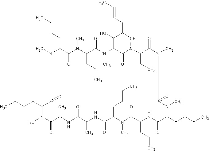
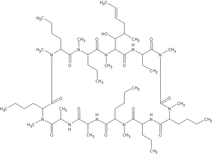
   Molekylstruktur  

Oral lösning
Kompatibilitet   Oral lösning   Kompatibilitet : Ciclosporin              
Ingen uppgift

  Mentions Légales