Zadnji put ažurirano :
18/03/2026
imunosupresori   Ciclosporin  
oralna otopina
injekcija kapi za oko masti
Stabilnost farmaceutskih pripravaka Stabilnost mješavine Stabilizacijski faktor Kompatibilnosti Bibliografija pdf
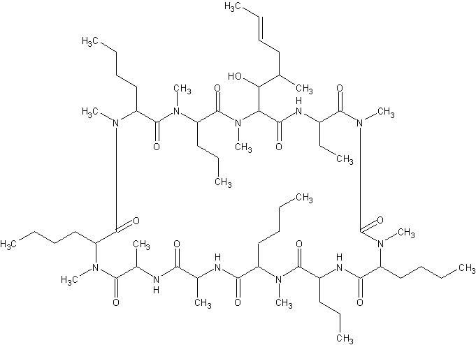
   Kemijska struktura  

oralna otopina
Kompatibilnosti   oralna otopina     Kompatibilnosti : Ciclosporin              
bez podataka

  Mentions Légales