Pēdējā atjaunošana :
18/03/2026
Imūnsupresors   Ciclosporin  
Orāls šķīdums
Acu pilieni Injekcija Ziedes
Stabilitāte farmaceitisko preparātu Maisījuma stabilitāte Stabilitāti ietekmējoši faktori Saderība Literatūras saraksts pdf
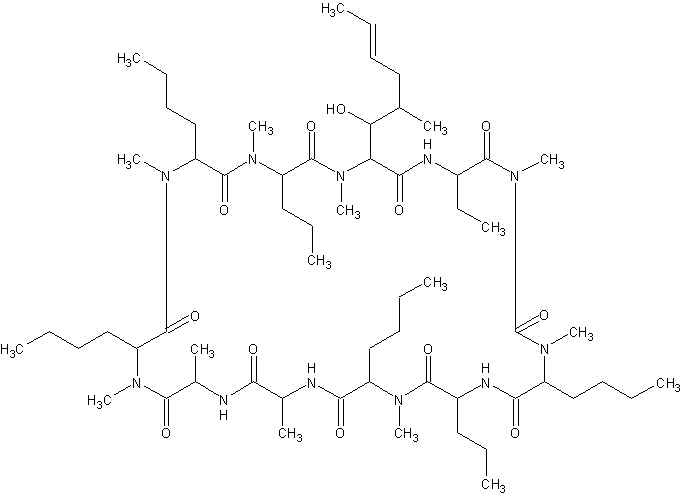
   Ķīmiskā uzbūve   

Orāls šķīdums
Saderība   Orāls šķīdums   Saderība : Ciclosporin              
Nav datu

  Mentions Légales