آخر تحديث :
18/03/2026
مخفض المناعة   Ciclosporin  
عن طريق الفم
المراهم حقن قطرات العين
استقرار المستحضرات الصيدلانية استقرار مخاليط العوامل التي تؤثر على الاستقرار التوافق مراجع pdf
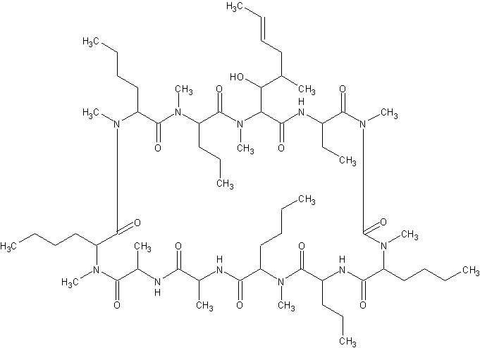
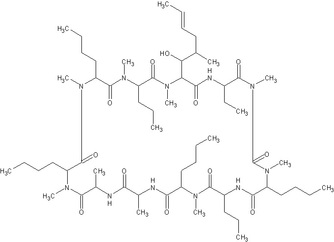
   التركيب الكيميائي  

عن طريق الفم
التوافق   عن طريق الفم     التوافق : Ciclosporin              
لا توجد بيانات

  Mentions Légales