Última actualização :
18/03/2026
Inmunosupressor   Ciclosporin  
Solução Oral
injetável Pomadas solução oftálmica
Estabilidade de preparações farmacêuticas Estabilidade em misturas Factores que afectam a sua estabilidade Compatibilidade Bibliografía pdf
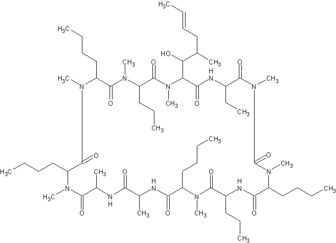
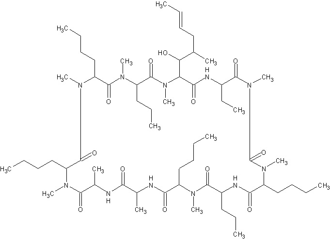
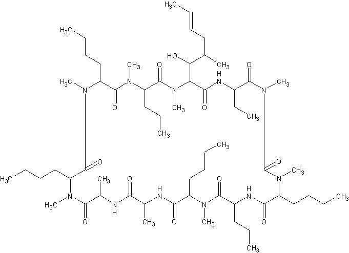
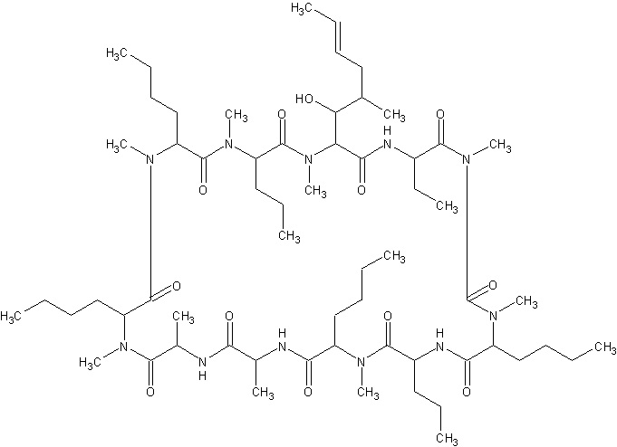
   estrutura química  

Solução Oral
Compatibilidade   Solução Oral   Compatibilidade : Ciclosporin              
Ausência de dados

  Mentions Légales