Viimeisin päivitys :
18/03/2026
Immunosupressiiviset lääkkeet   Ciclosporin  
Oraaliliuos
Injektioneste Salvat Silmätipat
Vakaus lääkevalmisteen Stabilius seoksissa Tekijät, jotka vaikuttavat stabiliuteen Yhteensopivuus Viitteet pdf
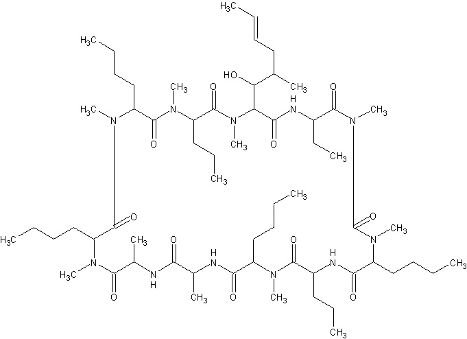
   Kemiallinen rakenne  

Oraaliliuos
Yhteensopivuus   Oraaliliuos   Yhteensopivuus : Ciclosporin              
ei tietoa

  Mentions Légales