Última actualización :
18/03/2026
Inmunosupresor   Ciclosporin  
Solución Oral
Gotas oculares Inyectables Preparaciones tópicas
La estabilidad de las preparaciones farmacéuticas Estabilidad en mezcla Factores que influyen sobre la estabilidad Compatibilidades Bibliografía pdf
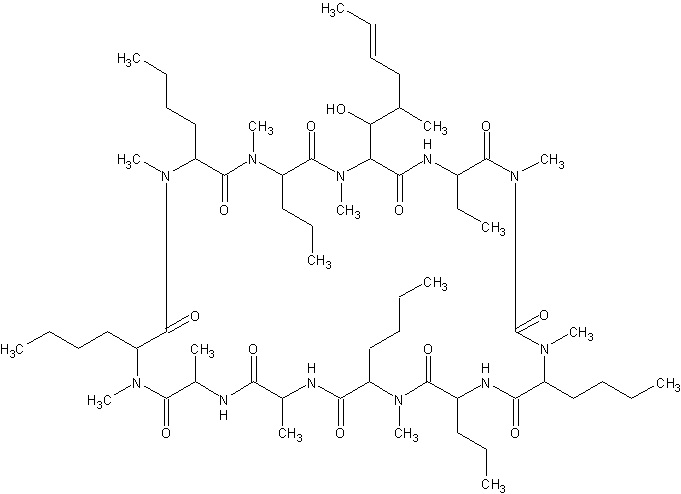
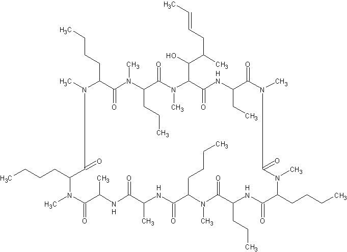
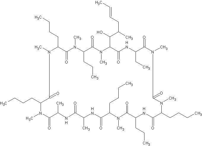
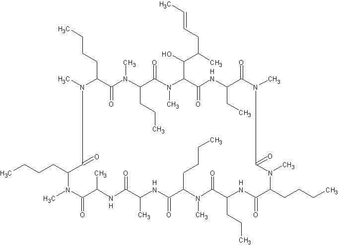
   Estructura química  

Solución Oral
Compatibilidades   Solución Oral   Compatibilidades : Ciclosporin              
Ausencia de datos

  Mentions Légales