Dernière mise à jour :
18/03/2026
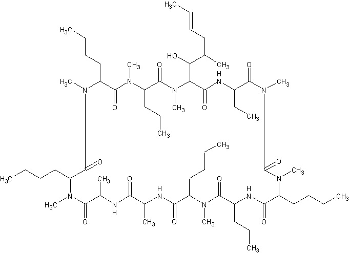
Immunosuppresseur   Ciclosporin  
Solution buvable
Collyre Forme dermique injectable
Stabilité des préparations Stabilité en mélange Facteur influençant la stabilité Compatibilités Bibliographie pdf
   Structure chimique  

Solution buvable
Compatibilités   Solution buvable   Compatibilités : Ciclosporin              
Aucune donnée

  Mentions Légales