Posledná aktualizácia :
18/03/2026
imunosupresívum   Ciclosporin  
Perorálny roztok
Dermálny prípravok Injekcia Očná instilácia
Stabilita farmaceutických prípravkov Stabilita v zmesiach Faktory ovplyvňujúce stabilitu Kompatibility Odkazy na literatúru PDF
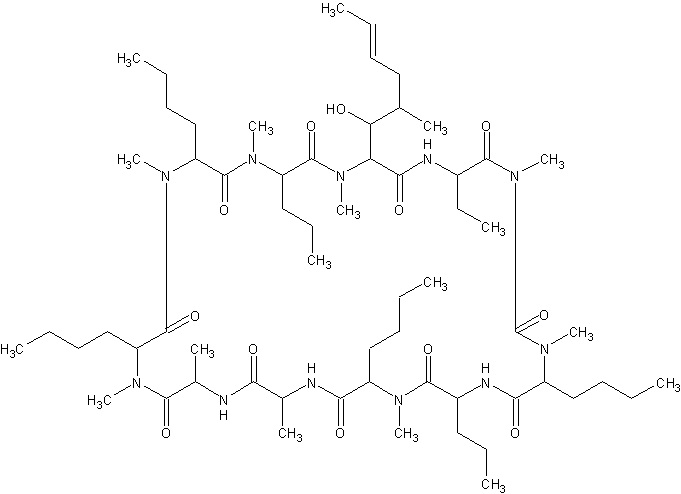
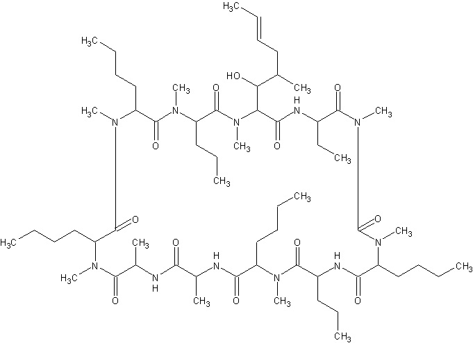
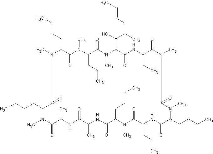
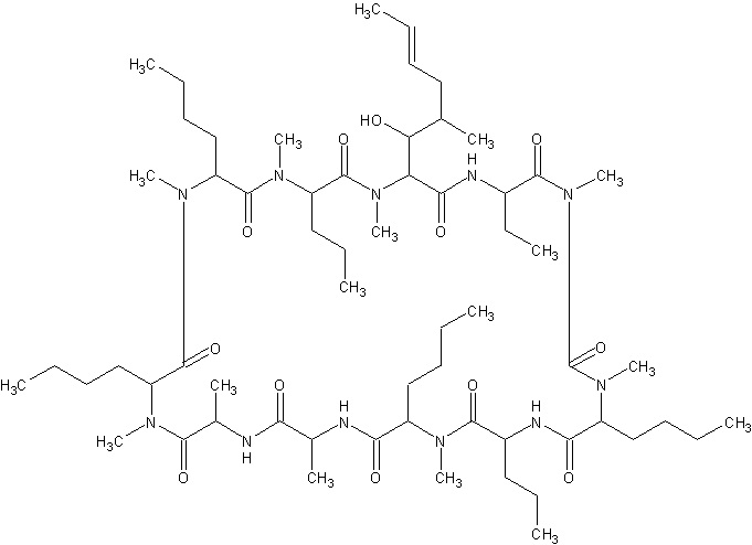
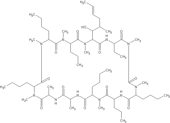
   Chemický vzorec  

Perorálny roztok
Kompatibility   Perorálny roztok   Kompatibility : Ciclosporin              
žiadne údaje

  Mentions Légales