Posledná aktualizácia :
18/03/2026
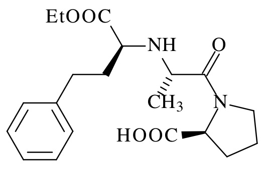
antihypertenzívum   Enalapril maleate  
Perorálny roztok
Stabilita farmaceutických prípravkov Stabilita v zmesiach Faktory ovplyvňujúce stabilitu Kompatibility Odkazy na literatúru PDF
   Chemický vzorec  

Perorálny roztok
Stabilita v zmesiach   Perorálny roztok   Stabilita v zmesiach : Enalapril maleate     
žiadne údaje

  Mentions Légales