Siste oppdatering :
18/03/2026
Antihypertensiva   Enalapril maleate  
Mikstur
Stabilitet av farmasøytiske preparater Stabilitet i blandinger Faktorer som påvirker stabiliteten Kompatibilitet Referanser pdf
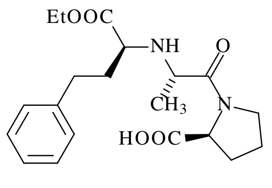
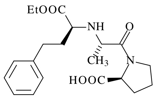
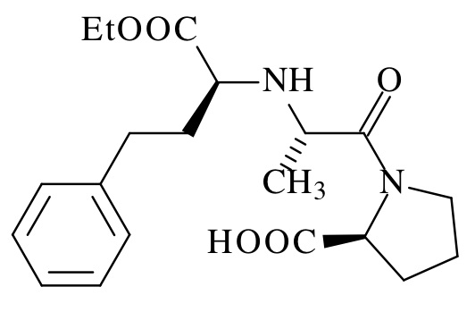
   Kjemisk struktur  

Mikstur
Stabilitet i blandinger   Mikstur   Stabilitet i blandinger : Enalapril maleate     
Ingen opplysninger

  Mentions Légales