Zadnji put ažurirano :
18/03/2026
antihipertenzor   Enalapril maleate  
oralna otopina
Stabilnost farmaceutskih pripravaka Stabilnost mješavine Stabilizacijski faktor Kompatibilnosti Bibliografija pdf
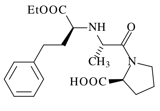
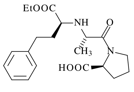
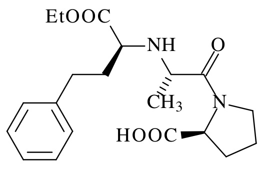
   Kemijska struktura  

oralna otopina
Stabilnost mješavine   oralna otopina     Stabilnost mješavine : Enalapril maleate     
bez podataka

  Mentions Légales