Viimeisin päivitys :
18/03/2026
Verenpainelääkkeet   Enalapril maleate  
Oraaliliuos
Vakaus lääkevalmisteen Stabilius seoksissa Tekijät, jotka vaikuttavat stabiliuteen Yhteensopivuus Viitteet pdf
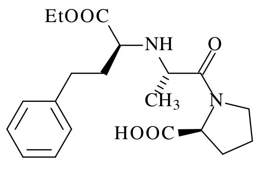
   Kemiallinen rakenne  

Oraaliliuos
Stabilius seoksissa   Oraaliliuos   Stabilius seoksissa : Enalapril maleate     
ei tietoa

  Mentions Légales