Ultimele actualizari :
18/03/2026
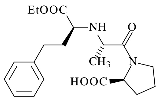
Antihipertensiv   Enalapril maleate  
Soluţie orală
Stabilitatea preparatelor farmaceutice Stabilitatea in amestec Factorii care influenteaza stabilitatea Compatibilitate Bibliografie pdf
   Formula chimica  

Soluţie orală
Stabilitatea in amestec   Soluţie orală   Stabilitatea in amestec : Enalapril maleate     
Absenta de date

  Mentions Légales