Последно актуализиране :
18/03/2026
Антихипертензивно средство   Enalapril maleate  
Орален разтвор
Стабилност на лекарствени препарати Стабилност на смеси Фактори, повлияващи стабилността Съвместимост Библиография Pdf
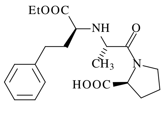
   Химична структура  

Орален разтвор
Стабилност на смеси   Орален разтвор   Стабилност на смеси : Enalapril maleate     
Няма данни

  Mentions Légales