viimane versioon :
18/03/2026
Antihüpertensiivne ravim   Enalapril maleate  
suukaudne lahus
Stabiilsust ravimpreparaadid Stabiilsust mõjutavad tegurid stabiilsust mõjutavad faktorid Sobimatus Viited pdf
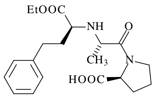
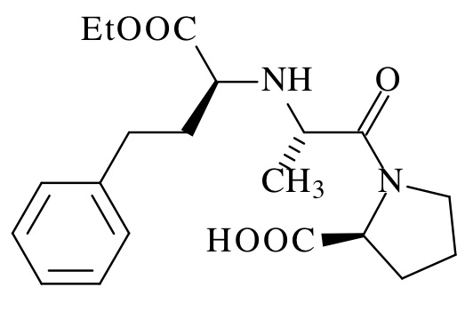
   keemiline struktuur  

suukaudne lahus
Stabiilsust mõjutavad tegurid   suukaudne lahus   Stabiilsust mõjutavad tegurid : Enalapril maleate     
andmed puuduvad

  Mentions Légales