Poslední aktualizace :
18/03/2026
Protonų siurblio inhibitorius   Omeprazole sodium  
Geriamas tirpalas
Įpurškimas
Stabilumas farmacinių preparatų Mišinių stabilumas Stabilumą lemiantys veiksniai Suderinamumas Bibliografija pdf
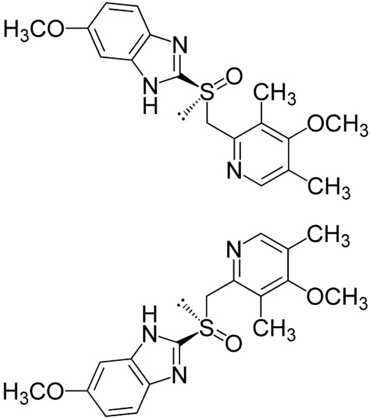
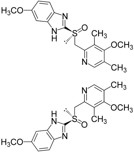
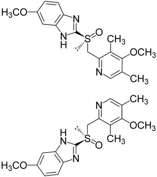
   Cheminė sandara  

Geriamas tirpalas

Stabilumą lemiantys veiksniai   Geriamas tirpalas   Stabilumą lemiantys veiksniai : Omeprazole sodium        
Nėra duomenų

  Mentions Légales