Poslední aktualizace :
18/03/2026
Inhibitor protonovÈ pumpy   Omeprazole sodium  
Perorální roztok
injekce
Stabilita farmaceutických přípravků Stabilita směsí Faktory ovlivňující stabilitu Kompatibilita Odkazy pdf
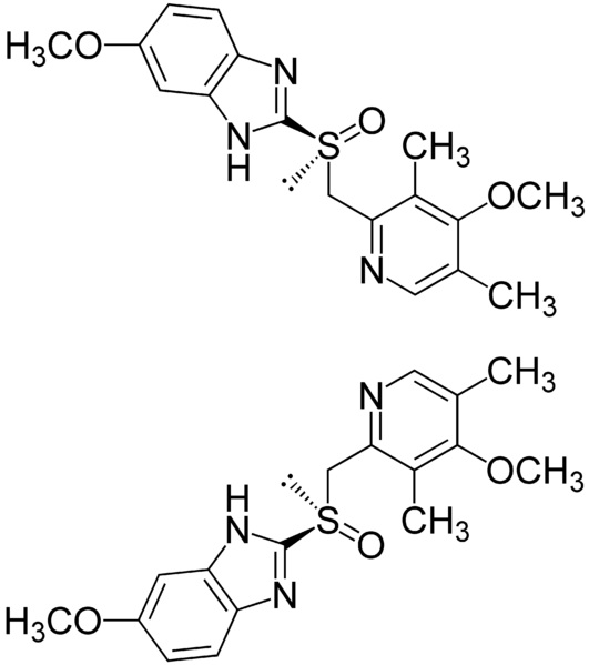
   Chemický vzorec  

Perorální roztok

Faktory ovlivňující stabilitu   Perorální roztok   Faktory ovlivňující stabilitu : Omeprazole sodium        
žádná data

  Mentions Légales