Última actualización :
18/03/2026
Inhibidor de la bomba de protones   Omeprazole sodium  
Solución Oral
Inyectables
La estabilidad de las preparaciones farmacéuticas Estabilidad en mezcla Factores que influyen sobre la estabilidad Compatibilidades Bibliografía pdf
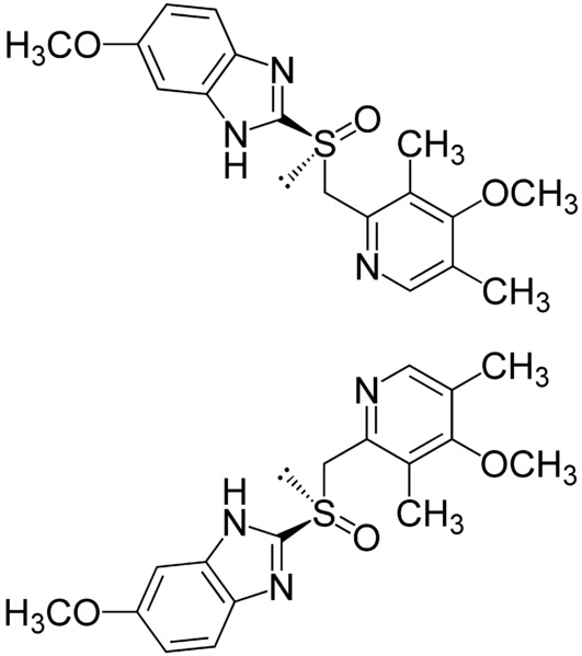
   Estructura química  

Solución Oral

Factores que influyen sobre la estabilidad   Solución Oral   Factores que influyen sobre la estabilidad : Omeprazole sodium        
Ausencia de datos

  Mentions Légales