zadnja posodobitev :
18/03/2026
Zaviralec protonske črpalke   Omeprazole sodium  
Peroralna raztopina
Brizgalka
Stabilnost farmacevtskih preparatov Stabilnost mešanice Faktorji, ki vplivajo na stabilnost Kompatibilnost Viri pdf
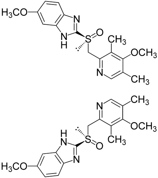
   Kemična formula  

Peroralna raztopina

Faktorji, ki vplivajo na stabilnost   Peroralna raztopina   Faktorji, ki vplivajo na stabilnost : Omeprazole sodium        
ni podatka

  Mentions Légales