Последно актуализиране :
18/03/2026
Инхибитор на протонната помпа   Omeprazole sodium  
Орален разтвор
Инжекция/Инжекционен
Стабилност на лекарствени препарати Стабилност на смеси Фактори, повлияващи стабилността Съвместимост Библиография Pdf
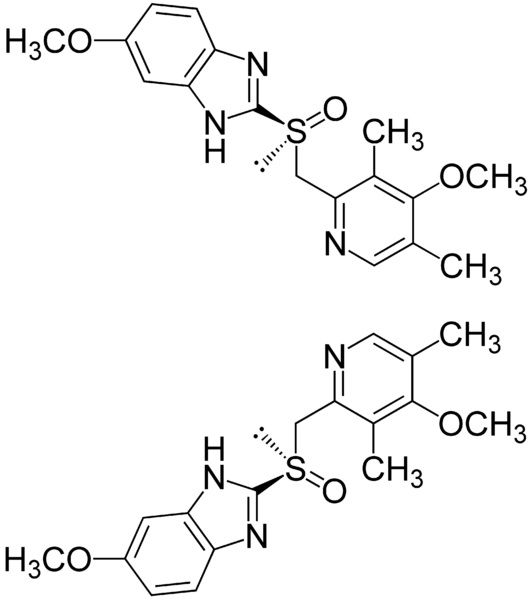
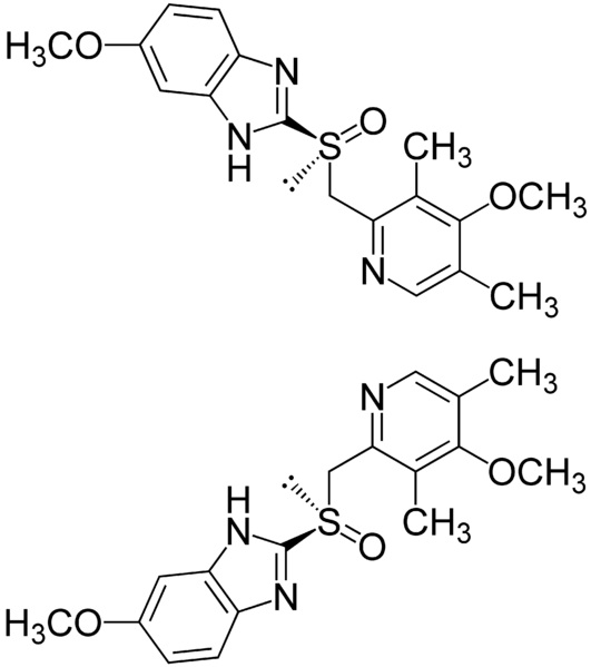
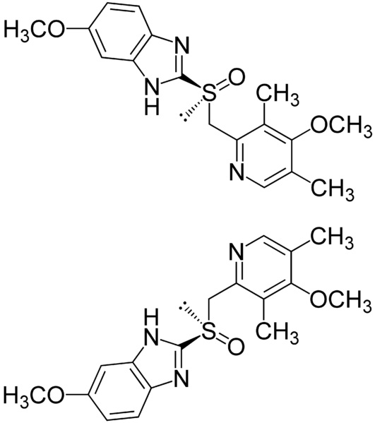
   Химична структура  

Орален разтвор

Фактори, повлияващи стабилността   Орален разтвор   Фактори, повлияващи стабилността : Omeprazole sodium        
Няма данни

  Mentions Légales