Останнє оновлення :
18/03/2026
Інгібітор протонної помпи   Omeprazole sodium  
Розчин для перорального застосування
ін'єкція
Стабільність фармацевтичних препаратів Стійкість сумішей Фактори, що впливають на стабільність Сумісність Список літератури pdf
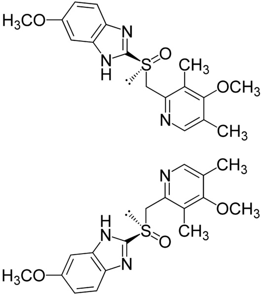
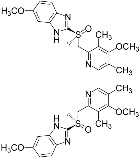
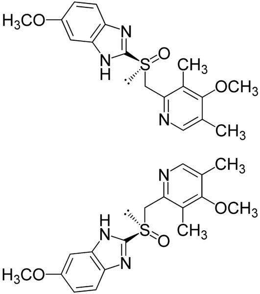
   Хімічна структура  

Розчин для перорального застосування

Фактори, що впливають на стабільність   Розчин для перорального застосування   Фактори, що впливають на стабільність : Omeprazole sodium        
7 / 5 000 Résultats de traduction Немає даних

  Mentions Légales