Cập nhật lần cuối :
18/03/2026
thuốc trị ung thư   Dacarbazine  
Dạng tiêm
Tính ổn định của các dung dịch Độ ổn định khi trộn lẫn Những yếu tố ảnh hưởng đến độ ổn định Khả năng tương thích Đường dùng Tài liệu tham khảo Pdf
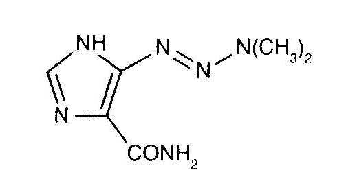
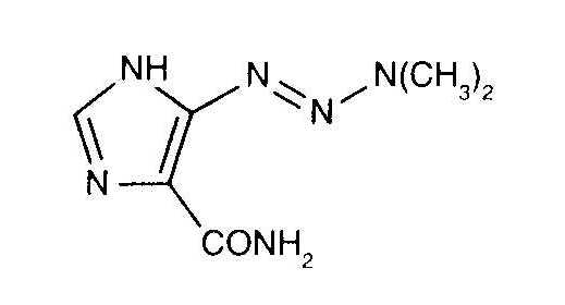
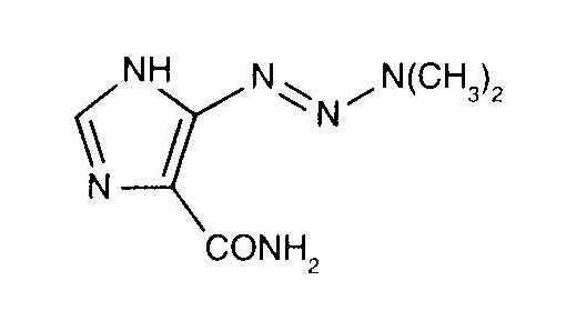
   Cấu trúc hóa học  

Tên thương mại   Tên thương mại     

Các tên thương mại được cung cấp và thành phần tá dược có thể khác nhau giữa các quốc gia và các hãng dược

Acocarb Mexico
Celdaz Ấn Độ, Peru
Dabaz Ấn Độ, Brazil
Dacarba Ấn Độ
Dacarbazin Áo, Ba Lan, Hungary, Malaysia
Dacarbazina Argentina, Brazil, Chile, Colombia, Ecuador, Mexico, Peru, Tây Ban Nha, Ý
Dacarbazine Ấn Độ, Anh, Bỉ, Canada, Hoa Kỳ, Iran, Ireland, new zealand, Thụy Điển, Úc, Đan Mạch
Dacarex Ấn Độ
Dacarin Ấn Độ
Dacarpalm Peru
Dacarzine Ấn Độ
Dacin Slovenia, Thụy Sỹ
Dacmed Ấn Độ
Daracina Colombia
Deticene Ả Rập Saudi, Bồ Đào Nha, Hà Lan, Hy Lạp, Pháp
Detimedac Colombia, Romania, Tunisia, Đức
DTIC Áo, Hoa Kỳ, new zealand
Fauldetic Bồ Đào Nha
Oncocarbil Argentina, Ecuador, Peru
Tiferomed Mexico
Tính ổn định của các dung dịch   Dạng tiêm   Tính ổn định của các dung dịch : Dacarbazine     
Bao bì Dung môi Nồng độ Nhiệt độ Bảo quản Thời gian ổn định Mục lục
Thủy tinh Nước cất pha tiêm 10 mg/ml 25°C Tránh ánh sáng
15 Giờ
3266
Các dữ liệu về độ ổn định của nhà sản xuất

Thủy tinh Nước cất pha tiêm 10 mg/ml 6-8°C Tránh ánh sáng
14 Ngày
3266
Các dữ liệu về độ ổn định của nhà sản xuất

Thủy tinh Nước cất pha tiêm 11 mg/ml 2-6°C Tránh ánh sáng
7 Ngày
1635
Cấp độ bằng chứng B

Thủy tinh Nước cất pha tiêm 11 mg/ml 20-25°C Tránh ánh sáng
96 Giờ
1635
Cấp độ bằng chứng B

Thủy tinh NaCl 0,9% 0,64 mg/ml 23°C Tránh ánh sáng
48 Giờ
1501
Cấp độ bằng chứng A

Thủy tinh NaCl 0,9% 0,64 mg/ml 4°C Tránh ánh sáng
48 Giờ
1501
Cấp độ bằng chứng A

Nhựa polyvinyl chloride NaCl 0,9% 0,64 mg/ml 23°C Tránh ánh sáng
48 Giờ
1501
Cấp độ bằng chứng A

Nhựa polyvinyl chloride NaCl 0,9% 0,64 mg/ml 4°C Tránh ánh sáng
48 Giờ
1501
Cấp độ bằng chứng A

Nhựa polyvinyl chloride NaCl 0,9% 1,6 mg/ml 4°C Tránh ánh sáng
30 Ngày
40
Cấp độ bằng chứng D

Nhựa polyvinyl chloride Glucose 5% 1,4 mg/ml 2-6°C Tránh ánh sáng
168 Giờ
1635
Cấp độ bằng chứng B

Nhựa polyvinyl chloride Glucose 5% 1,4 mg/ml 20°C-25°C Tránh ánh sáng
72 Giờ
1635
Cấp độ bằng chứng B

Nhựa polyvinyl chloride Glucose 5% 1,6 mg/ml 4°C Tránh ánh sáng
30 Ngày
40
Cấp độ bằng chứng D

Nhựa polyethylen NaCl 0,9% 0,64 mg/ml 23°C Tránh ánh sáng
48 Giờ
1501
Cấp độ bằng chứng A

Nhựa polyethylen NaCl 0,9% 0,64 mg/ml 4°C Tránh ánh sáng
48 Giờ
1501
Cấp độ bằng chứng A

Không rõ NaCl 0,9% mg/ml 25°C Tránh ánh sáng
9 Giờ
3266
Các dữ liệu về độ ổn định của nhà sản xuất

Không rõ NaCl 0,9% mg/ml 6-8°C Tránh ánh sáng
6 Ngày
3266
Các dữ liệu về độ ổn định của nhà sản xuất

Không rõ Glucose 5% mg/ml 25°C Tránh ánh sáng
9 Giờ
3266
Các dữ liệu về độ ổn định của nhà sản xuất

Không rõ Glucose 5% mg/ml 6-8°C Tránh ánh sáng
6 Ngày
3266
Các dữ liệu về độ ổn định của nhà sản xuất


  Mentions Légales