Τελευταία ενημέρωση :
18/03/2026
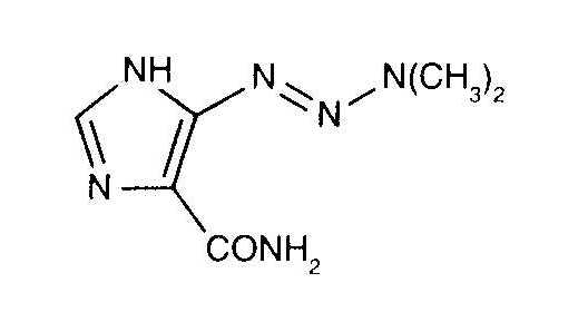
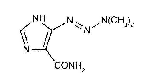
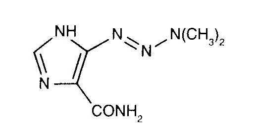
φάρμακο κατά του καρκίνου   Dacarbazine  
Ενέσιμο
Σταθερότητα διαλυμάτων Σταθερότητα σε μίγματα Παράγοντας που επηρεάζει τη σταθερότητα Συμβατότητες Τρόπος χορήγησης Βιβλιογραφία pdf
   χημική δομή  

Εμπορική ονομασία   Εμπορική ονομασία     

Οι εμπορικές ονομασίες είναι ενδεικτικές και η σύνθεση των εκδόχων μπορεί να διαφέρει ανάλογα με τη χώρα και τα εργαστήρια

Acocarb Μεξικό
Celdaz Ινδία, Περού
Dabaz Βραζιλία, Ινδία
Dacarba Ινδία
Dacarbazin Αυστρία, Μαλαισία, Ουγγαρία, Πολωνία
Dacarbazina Αργεντινή, Βραζιλία, Εκουαδόρ, Ισπανία, Ιταλία, Κολομβία, Μεξικό, Περού, Χιλή
Dacarbazine Αυστραλία, Βέλγιο, Δανία, Η.Π.Α., Ινδία, Ιράν, Ιρλανδία, Καναδάς, Μεγάλη Βρετανία, νέα Ζηλανδία, Σουηδία
Dacarex Ινδία
Dacarin Ινδία
Dacarpalm Περού
Dacarzine Ινδία
Dacin Ελβετία, Σλοβενία
Dacmed Ινδία
Daracina Κολομβία
Deticene Γαλλία, Ελλάδα, Ολλανδία, Πορτογαλία, Σαουδική Αραβία
Detimedac Γερμανία, Κολομβία, Ρουμανία, Τυνησία
DTIC Αυστρία, Η.Π.Α., νέα Ζηλανδία
Fauldetic Πορτογαλία
Oncocarbil Αργεντινή, Εκουαδόρ, Περού
Tiferomed Μεξικό
Σταθερότητα διαλυμάτων   Ενέσιμο   Σταθερότητα διαλυμάτων : Dacarbazine     
Υποδοχέας Διαλυτικό Συγκέντρωση Θερμοκρασία Αποθήκευση Διάρκεια σταθερότητας Βιβλιογραφία
Ύαλος Ενέσιμο ύδωρ 10 mg/ml 25°C Προστατεύετε από το φως
15 Ώρα
3266
Δεδομένα σταθερότητας του κατασκευαστή/ών

Ύαλος Ενέσιμο ύδωρ 10 mg/ml 6-8°C Προστατεύετε από το φως
14 Ημέρα
3266
Δεδομένα σταθερότητας του κατασκευαστή/ών

Ύαλος Ενέσιμο ύδωρ 11 mg/ml 2-6°C Προστατεύετε από το φως
7 Ημέρα
1635
Επίπεδο των αποδεικτικών στοιχείων B

Ύαλος Ενέσιμο ύδωρ 11 mg/ml 20-25°C Προστατεύετε από το φως
96 Ώρα
1635
Επίπεδο των αποδεικτικών στοιχείων B

Ύαλος Χλωριούχο νάτριο 0,9% 0,64 mg/ml 23°C Προστατεύετε από το φως
48 Ώρα
1501
Επίπεδο των αποδεικτικών στοιχείων A

Ύαλος Χλωριούχο νάτριο 0,9% 0,64 mg/ml 4°C Προστατεύετε από το φως
48 Ώρα
1501
Επίπεδο των αποδεικτικών στοιχείων A

Πολυβινυλοχλωρίδιο Χλωριούχο νάτριο 0,9% 0,64 mg/ml 23°C Προστατεύετε από το φως
48 Ώρα
1501
Επίπεδο των αποδεικτικών στοιχείων A

Πολυβινυλοχλωρίδιο Χλωριούχο νάτριο 0,9% 0,64 mg/ml 4°C Προστατεύετε από το φως
48 Ώρα
1501
Επίπεδο των αποδεικτικών στοιχείων A

Πολυβινυλοχλωρίδιο Χλωριούχο νάτριο 0,9% 1,6 mg/ml 4°C Προστατεύετε από το φως
30 Ημέρα
40
Επίπεδο των αποδεικτικών στοιχείων D

Πολυβινυλοχλωρίδιο Γλυκόζη 5% 1,4 mg/ml 2-6°C Προστατεύετε από το φως
168 Ώρα
1635
Επίπεδο των αποδεικτικών στοιχείων B

Πολυβινυλοχλωρίδιο Γλυκόζη 5% 1,4 mg/ml 20°C-25°C Προστατεύετε από το φως
72 Ώρα
1635
Επίπεδο των αποδεικτικών στοιχείων B

Πολυβινυλοχλωρίδιο Γλυκόζη 5% 1,6 mg/ml 4°C Προστατεύετε από το φως
30 Ημέρα
40
Επίπεδο των αποδεικτικών στοιχείων D

Πολυαιθυλένιο Χλωριούχο νάτριο 0,9% 0,64 mg/ml 23°C Προστατεύετε από το φως
48 Ώρα
1501
Επίπεδο των αποδεικτικών στοιχείων A

Πολυαιθυλένιο Χλωριούχο νάτριο 0,9% 0,64 mg/ml 4°C Προστατεύετε από το φως
48 Ώρα
1501
Επίπεδο των αποδεικτικών στοιχείων A

Απροσδιόριστο Χλωριούχο νάτριο 0,9% mg/ml 25°C Προστατεύετε από το φως
9 Ώρα
3266
Δεδομένα σταθερότητας του κατασκευαστή/ών

Απροσδιόριστο Χλωριούχο νάτριο 0,9% mg/ml 6-8°C Προστατεύετε από το φως
6 Ημέρα
3266
Δεδομένα σταθερότητας του κατασκευαστή/ών

Απροσδιόριστο Γλυκόζη 5% mg/ml 25°C Προστατεύετε από το φως
9 Ώρα
3266
Δεδομένα σταθερότητας του κατασκευαστή/ών

Απροσδιόριστο Γλυκόζη 5% mg/ml 6-8°C Προστατεύετε από το φως
6 Ημέρα
3266
Δεδομένα σταθερότητας του κατασκευαστή/ών


  Mentions Légales