zadnja posodobitev :
18/03/2026
rak drog   Dacarbazine  
Brizgalka
Stabilnost raztopine Stabilnost mešanice Faktorji, ki vplivajo na stabilnost Kompatibilnost način aplikacije Viri pdf
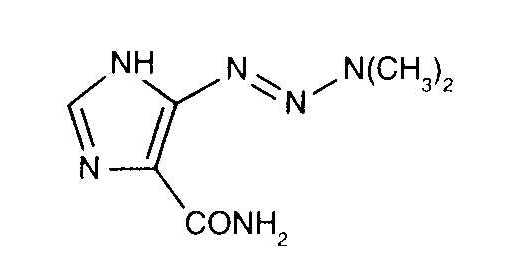
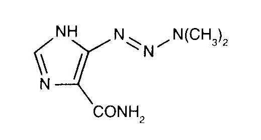
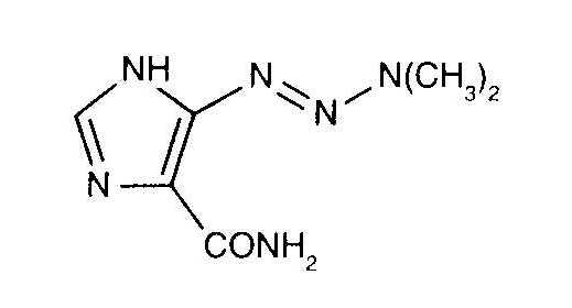
   Kemična formula  

Lastniško ime   Lastniško ime     

Sestava pomožnih snovi je med paralelami lahko različna

Acocarb Mehika
Celdaz Indija, Peru
Dabaz Brazilija, Indija
Dacarba Indija
Dacarbazin Avstrija, Madžarska, Malezija, Poljska
Dacarbazina Argentina, Brazilija, Čile, Ekvador, Italija, Kolumbija, Mehika, Peru, Španija
Dacarbazine Avstralija, Belgija, Danska, Indija, Iran, Irska, Kanada, nova Zelandija, Švedska, Velika Britanija, Združene države Amerike
Dacarex Indija
Dacarin Indija
Dacarpalm Peru
Dacarzine Indija
Dacin Slovenija, Švica
Dacmed Indija
Daracina Kolumbija
Deticene Francija, Grčija, Nizozemska, Portugalska, Savdska Arabija
Detimedac Kolumbija, Nemčija, Romunija, Tunizija
DTIC Avstrija, nova Zelandija, Združene države Amerike
Fauldetic Portugalska
Oncocarbil Argentina, Ekvador, Peru
Tiferomed Mehika
Stabilnost raztopine   Brizgalka   Stabilnost raztopine : Dacarbazine     
Vsebnik Topilo Koncentracija Temperatura Shranjevanje Trajanje stabilnosti Viri
Steklo Voda za injekcije 10 mg/ml 25°C Zaščiteno pred svetlobo
15 čas
3266
Podatki stabilnosti proizvajalca

Steklo Voda za injekcije 10 mg/ml 6-8°C Zaščiteno pred svetlobo
14 Dan
3266
Podatki stabilnosti proizvajalca

Steklo Voda za injekcije 11 mg/ml 2-6°C Zaščiteno pred svetlobo
7 Dan
1635
 Stopnja dokaza B

Steklo Voda za injekcije 11 mg/ml 20-25°C Zaščiteno pred svetlobo
96 čas
1635
 Stopnja dokaza B

Steklo Natrijev klorid 0,9% 0,64 mg/ml 23°C Zaščiteno pred svetlobo
48 čas
1501
 Stopnja dokaza A

Steklo Natrijev klorid 0,9% 0,64 mg/ml 4°C Zaščiteno pred svetlobo
48 čas
1501
 Stopnja dokaza A

Polivinil klorid Natrijev klorid 0,9% 0,64 mg/ml 23°C Zaščiteno pred svetlobo
48 čas
1501
 Stopnja dokaza A

Polivinil klorid Natrijev klorid 0,9% 0,64 mg/ml 4°C Zaščiteno pred svetlobo
48 čas
1501
 Stopnja dokaza A

Polivinil klorid Natrijev klorid 0,9% 1,6 mg/ml 4°C Zaščiteno pred svetlobo
30 Dan
40
 Stopnja dokaza D

Polivinil klorid Glukoza 5% 1,4 mg/ml 2-6°C Zaščiteno pred svetlobo
168 čas
1635
 Stopnja dokaza B

Polivinil klorid Glukoza 5% 1,4 mg/ml 20°C-25°C Zaščiteno pred svetlobo
72 čas
1635
 Stopnja dokaza B

Polivinil klorid Glukoza 5% 1,6 mg/ml 4°C Zaščiteno pred svetlobo
30 Dan
40
 Stopnja dokaza D

Polietilen Natrijev klorid 0,9% 0,64 mg/ml 23°C Zaščiteno pred svetlobo
48 čas
1501
 Stopnja dokaza A

Polietilen Natrijev klorid 0,9% 0,64 mg/ml 4°C Zaščiteno pred svetlobo
48 čas
1501
 Stopnja dokaza A

Nedoločeno Natrijev klorid 0,9% mg/ml 25°C Zaščiteno pred svetlobo
9 čas
3266
Podatki stabilnosti proizvajalca

Nedoločeno Natrijev klorid 0,9% mg/ml 6-8°C Zaščiteno pred svetlobo
6 Dan
3266
Podatki stabilnosti proizvajalca

Nedoločeno Glukoza 5% mg/ml 25°C Zaščiteno pred svetlobo
9 čas
3266
Podatki stabilnosti proizvajalca

Nedoločeno Glukoza 5% mg/ml 6-8°C Zaščiteno pred svetlobo
6 Dan
3266
Podatki stabilnosti proizvajalca


  Mentions Légales