Utolsó frissítés :
27/11/2025
rákellenes gyógyszer   Dacarbazine  
Injekció
Az oldatok stabilitása A keverékek stabilitása Stabilitást befolyásoló tényezők Kompatibilitás Az alkalmazás módja Irodalom pdf
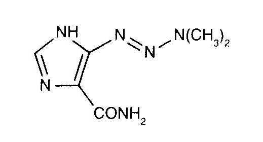
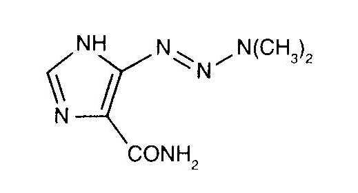
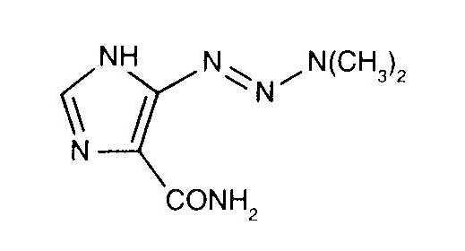
   Kémiai szerkezet   

Kereskedelmi név   Kereskedelmi név     

A kereskedelmi név meghatározó jelentőségű: a készítmények összetétele országonként, előállítóként eltérő lehet

Acocarb Mexikó
Celdaz India, Peru
Dabaz Brazília, India
Dacarba India
Dacarbazin Ausztria, Lengyelország, Magyarország, Malaysia
Dacarbazina Argentína, Brazília, Chile, Colombia, Ecuador, Mexikó, Olaszország, Peru, Spanyolország
Dacarbazine Amerikai Egyesült Államok, Ausztrália, Belgium, Dánia, India, Irán, Írország, Kanada, Nagy-Britannia, Svédország, új-Zéland
Dacarex India
Dacarin India
Dacarpalm Peru
Dacarzine India
Dacin Svájc, Szlovénia
Dacmed India
Daracina Colombia
Deticene Franciaország, Görögország, Hollandia, Portugália, Szaúd-Arábiában
Detimedac Colombia, Németország, Románia, Tunézia
DTIC Amerikai Egyesült Államok, Ausztria, új-Zéland
Fauldetic Portugália
Oncocarbil Argentína, Ecuador, Peru
Tiferomed Mexikó
Az oldatok stabilitása   Injekció   Az oldatok stabilitása : Dacarbazine     
Csomagolás Oldószer Koncentráció Hőmérséklet Tárolás A stabilitás időtartama Irodalom
Üveg Injekcióhoz való víz 10 mg/ml 25°C Fénytől védve tartandó
15 Óra
3266
Gyártó stabilitási adatokra

Üveg Injekcióhoz való víz 10 mg/ml 6-8°C Fénytől védve tartandó
14 Nap
3266
Gyártó stabilitási adatokra

Üveg Injekcióhoz való víz 11 mg/ml 2-6°C Fénytől védve tartandó
7 Nap
1635
Szintű bizonyítékot B

Üveg Injekcióhoz való víz 11 mg/ml 20-25°C Fénytől védve tartandó
96 Óra
1635
Szintű bizonyítékot B

Üveg 0,9% nátrium-klorid 0,64 mg/ml 23°C Fénytől védve tartandó
48 Óra
1501
Szintű bizonyítékot A

Üveg 0,9% nátrium-klorid 0,64 mg/ml 4°C Fénytől védve tartandó
48 Óra
1501
Szintű bizonyítékot A

Poli(vinilklorid) 0,9% NaCl vagy 5% glükóz 1,6 mg/ml 4°C Fénytől védve tartandó
30 Nap
40
Szintű bizonyítékot D

Poli(vinilklorid) 0,9% nátrium-klorid 0,64 mg/ml 23°C Fénytől védve tartandó
48 Óra
1501
Szintű bizonyítékot A

Poli(vinilklorid) 0,9% nátrium-klorid 0,64 mg/ml 4°C Fénytől védve tartandó
48 Óra
1501
Szintű bizonyítékot A

Poli(vinilklorid) 5% glükóz 1,4 mg/ml 2-6°C Fénytől védve tartandó
168 Óra
1635
Szintű bizonyítékot B

Poli(vinilklorid) 5% glükóz 1,4 mg/ml 20°C-25°C Fénytől védve tartandó
72 Óra
1635
Szintű bizonyítékot B

Polietilén 0,9% nátrium-klorid 0,64 mg/ml 23°C Fénytől védve tartandó
48 Óra
1501
Szintű bizonyítékot A

Polietilén 0,9% nátrium-klorid 0,64 mg/ml 4°C Fénytől védve tartandó
48 Óra
1501
Szintű bizonyítékot A

Nincs meghatározva 0,9% NaCl vagy 5% glükóz mg/ml 25°C Fénytől védve tartandó
9 Óra
3266
Gyártó stabilitási adatokra

Nincs meghatározva 0,9% NaCl vagy 5% glükóz mg/ml 6-8°C Fénytől védve tartandó
6 Nap
3266
Gyártó stabilitási adatokra


  Mentions Légales