最新更新 :
18/03/2026
Infostab
药品清单
简要表
搜索兼容性
Y 站点兼容性表
引用文献
研究小組
valistab
海报
鏈接
贊助商
作者
使用指南
时讯
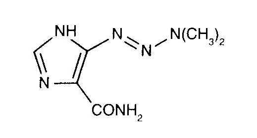
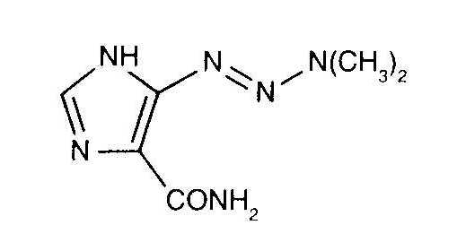
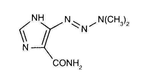
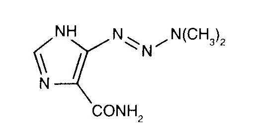
Dacarbazine
化学式
商品名
商品名仅供参考, 药品所用的辅料可能依国家或厂商不同有所不同。
Acocarb
墨西哥
Celdaz
印度, 秘鲁
Dabaz
印度, 巴西
Dacarba
印度
Dacarbazin
匈牙利, 奥地利, 波兰, 马来西亚
Dacarbazina
厄瓜多尔, 哥伦比亚, 墨西哥, 巴西, 意大利, 智利, 秘鲁, 西班牙, 阿根廷
Dacarbazine
丹麦, 伊朗, 加拿大, 印度, 新西蘭, 比利时, 澳大利亚, 爱尔兰, 瑞典, 美国, 英国
Dacarex
印度
Dacarin
印度
Dacarpalm
秘鲁
Dacarzine
印度
Dacin
斯洛文尼亚, 瑞士
Dacmed
印度
Daracina
哥伦比亚
Deticene
希腊, 沙特阿拉伯, 法国, 荷兰, 葡萄牙
Detimedac
哥伦比亚, 德国, 突尼斯, 罗马尼亚
DTIC
奥地利, 新西蘭, 美国
Fauldetic
葡萄牙
Oncocarbil
厄瓜多尔, 秘鲁, 阿根廷
Tiferomed
墨西哥
溶液稳定性 : Dacarbazine
10 mg/ml
25°C
15
3266
10 mg/ml
6-8°C
14
3266
11 mg/ml
2-6°C
7
1635
11 mg/ml
20-25°C
96
1635
0,64 mg/ml
23°C
48
1501
0,64 mg/ml
4°C
48
1501
0,64 mg/ml
23°C
48
1501
0,64 mg/ml
4°C
48
1501
1,6 mg/ml
4°C
30
40
1,4 mg/ml
2-6°C
168
1635
1,4 mg/ml
20°C-25°C
72
1635
1,6 mg/ml
4°C
30
40
0,64 mg/ml
23°C
48
1501
0,64 mg/ml
4°C
48
1501
mg/ml
25°C
9
3266
mg/ml
6-8°C
6
3266
mg/ml
25°C
9
3266
mg/ml
6-8°C
6
3266
Mentions Légales