最新更新 :
18/03/2026
細胞増殖抑制薬   Dacarbazine  
注射薬
溶媒内の安定性 混合時の安定性 安定性に影響する因子 互換性 投与経路 引用文献 PDF
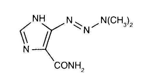
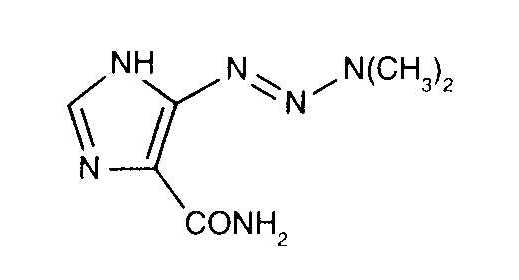
   化学構造  

商品名   商品名     

商品名、賦形剤は国、製薬会社ごとに異なることがあります

Acocarb メキシコ
Celdaz インド, ペルー
Dabaz インド, ブラジル
Dacarba インド
Dacarbazin オーストリア, ハンガリー, ポーランド, マレーシア
Dacarbazina アルゼンチン, イタリア, エクアドル, コロンビア, スペイン, チリ, ブラジル, ペルー, メキシコ
Dacarbazine アイルランド, アメリカ, アーストラリア, イギリス, イラン, インド, カナダ, スウェーデン, デンマーク, ニュージーランド, ベルギー
Dacarex インド
Dacarin インド
Dacarpalm ペルー
Dacarzine インド
Dacin スイス, スロベニア
Dacmed インド
Daracina コロンビア
Deticene オランダ, ギリシア, サウジアラビア, フランス, ポルトガル
Detimedac コロンビア, チュニジア, ドイツ, ルーマニア
DTIC アメリカ, オーストリア, ニュージーランド
Fauldetic ポルトガル
Oncocarbil アルゼンチン, エクアドル, ペルー
Tiferomed メキシコ
溶媒内の安定性   注射薬   溶媒内の安定性 : Dacarbazine     
容器 溶媒 濃度 温度 保管 安定期間 引用文献
ガラス 注射用水 10 mg/ml 25°C 遮光
15 時間
3266
製薬会社の安定性データ

ガラス 注射用水 10 mg/ml 6-8°C 遮光
14 日
3266
製薬会社の安定性データ

ガラス 注射用水 11 mg/ml 2-6°C 遮光
7 日
1635
エビデンスレベル B

ガラス 注射用水 11 mg/ml 20-25°C 遮光
96 時間
1635
エビデンスレベル B

ガラス NaCl 0,9% 0,64 mg/ml 23°C 遮光
48 時間
1501
エビデンスレベル A

ガラス NaCl 0,9% 0,64 mg/ml 4°C 遮光
48 時間
1501
エビデンスレベル A

ポリ塩化ビニル(PVC) NaCl 0,9% 0,64 mg/ml 23°C 遮光
48 時間
1501
エビデンスレベル A

ポリ塩化ビニル(PVC) NaCl 0,9% 0,64 mg/ml 4°C 遮光
48 時間
1501
エビデンスレベル A

ポリ塩化ビニル(PVC) NaCl 0,9% 1,6 mg/ml 4°C 遮光
30 日
40
エビデンスレベル D

ポリ塩化ビニル(PVC) グルコース5% 1,4 mg/ml 2-6°C 遮光
168 時間
1635
エビデンスレベル B

ポリ塩化ビニル(PVC) グルコース5% 1,4 mg/ml 20°C-25°C 遮光
72 時間
1635
エビデンスレベル B

ポリ塩化ビニル(PVC) グルコース5% 1,6 mg/ml 4°C 遮光
30 日
40
エビデンスレベル D

ポリエチレン NaCl 0,9% 0,64 mg/ml 23°C 遮光
48 時間
1501
エビデンスレベル A

ポリエチレン NaCl 0,9% 0,64 mg/ml 4°C 遮光
48 時間
1501
エビデンスレベル A

指定なし NaCl 0,9% mg/ml 25°C 遮光
9 時間
3266
製薬会社の安定性データ

指定なし NaCl 0,9% mg/ml 6-8°C 遮光
6 日
3266
製薬会社の安定性データ

指定なし グルコース5% mg/ml 25°C 遮光
9 時間
3266
製薬会社の安定性データ

指定なし グルコース5% mg/ml 6-8°C 遮光
6 日
3266
製薬会社の安定性データ


  Mentions Légales