Ostatnia aktualizacja :
18/03/2026
Lek cytostatyk   Dacarbazine  
Injekcje
Trwałość roztworów Trwałość w mieszaninie Czynnik wpływający na trwałość Zgodność Sposób podania Bibliografia pdf
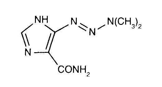
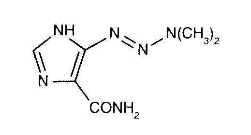
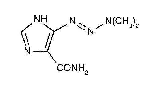
   Struktura chemiczna  

Nazwa handlowa   Nazwa handlowa     

Trade names are indicative and excipients composition can be different depending on the country and manufacturers

Acocarb Meksyk
Celdaz Indie, Peru
Dabaz Brazylia, Indie
Dacarba Indie
Dacarbazin Austria, Malezja, Polska, Węgry
Dacarbazina Argentyna, Brazylia, Chile, Ekwador, Hiszpania, KolumbiaKolumbia, Meksyk, Peru, Włochy
Dacarbazine Australia, Belgia, Dania, Indie, Iran, Irlandia, Kanada, nowa Zelandia, Stany Zjednoczone Ameryki, Szwecja, Wielka Brytania
Dacarex Indie
Dacarin Indie
Dacarpalm Peru
Dacarzine Indie
Dacin Szwajcaria, Słowenia
Dacmed Indie
Daracina KolumbiaKolumbia
Deticene Arabia Saudyjska, Francja , Grecja, Holandia, Portugalia
Detimedac KolumbiaKolumbia, Niemcy, Rumunia, Tunisie
DTIC Austria, nowa Zelandia, Stany Zjednoczone Ameryki
Fauldetic Portugalia
Oncocarbil Argentyna, Ekwador, Peru
Tiferomed Meksyk
Trwałość roztworów   Injekcje   Trwałość roztworów : Dacarbazine     
Pojemnik Rozpuszczalnik Stężenie Temperatura Przechowywanie Czas trwania stabilności Bibliografia
Szkło Woda do wstrzyknięć 10 mg/ml 25°C Chronić od światła
15 Godzina
3266
Dane stabilności producenta

Szkło Woda do wstrzyknięć 10 mg/ml 6-8°C Chronić od światła
14 Dzień
3266
Dane stabilności producenta

Szkło Woda do wstrzyknięć 11 mg/ml 2-6°C Chronić od światła
7 Dzień
1635
Poziom wiarygodności B

Szkło Woda do wstrzyknięć 11 mg/ml 20-25°C Chronić od światła
96 Godzina
1635
Poziom wiarygodności B

Szkło Chlorek sodu 0,9% 0,64 mg/ml 23°C Chronić od światła
48 Godzina
1501
Poziom wiarygodności A

Szkło Chlorek sodu 0,9% 0,64 mg/ml 4°C Chronić od światła
48 Godzina
1501
Poziom wiarygodności A

Polichlorek winylu Chlorek sodu 0,9% 0,64 mg/ml 23°C Chronić od światła
48 Godzina
1501
Poziom wiarygodności A

Polichlorek winylu Chlorek sodu 0,9% 0,64 mg/ml 4°C Chronić od światła
48 Godzina
1501
Poziom wiarygodności A

Polichlorek winylu Chlorek sodu 0,9% 1,6 mg/ml 4°C Chronić od światła
30 Dzień
40
Poziom wiarygodności D

Polichlorek winylu Glukoza 5% 1,4 mg/ml 2-6°C Chronić od światła
168 Godzina
1635
Poziom wiarygodności B

Polichlorek winylu Glukoza 5% 1,4 mg/ml 20°C-25°C Chronić od światła
72 Godzina
1635
Poziom wiarygodności B

Polichlorek winylu Glukoza 5% 1,6 mg/ml 4°C Chronić od światła
30 Dzień
40
Poziom wiarygodności D

Polietylen Chlorek sodu 0,9% 0,64 mg/ml 23°C Chronić od światła
48 Godzina
1501
Poziom wiarygodności A

Polietylen Chlorek sodu 0,9% 0,64 mg/ml 4°C Chronić od światła
48 Godzina
1501
Poziom wiarygodności A

Brak informacji Chlorek sodu 0,9% mg/ml 25°C Chronić od światła
9 Godzina
3266
Dane stabilności producenta

Brak informacji Chlorek sodu 0,9% mg/ml 6-8°C Chronić od światła
6 Dzień
3266
Dane stabilności producenta

Brak informacji Glukoza 5% mg/ml 25°C Chronić od światła
9 Godzina
3266
Dane stabilności producenta

Brak informacji Glukoza 5% mg/ml 6-8°C Chronić od światła
6 Dzień
3266
Dane stabilności producenta


  Mentions Légales