Ultimele actualizari :
18/03/2026
Citostatic   Dacarbazine  
Injectabil
Stabilitatea in solutie Stabilitatea in amestec Factorii care influenteaza stabilitatea Compatibilitate Microunde Bibliografie pdf
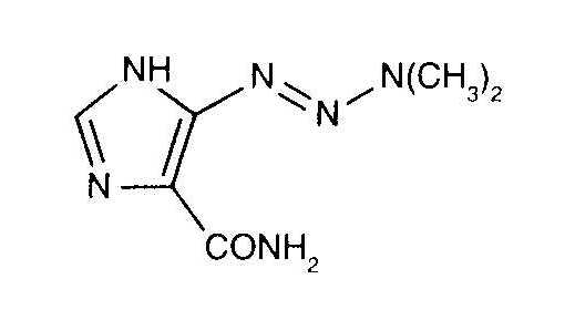
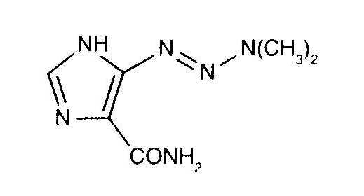
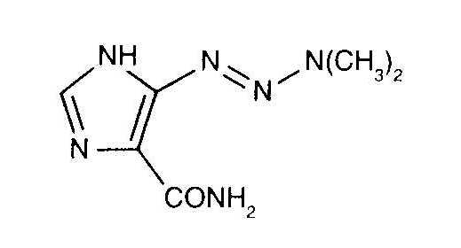
   Formula chimica  

Denumirea comerciala   Denumirea comerciala     

Trade names are indicative and excipients composition can be different depending on the country and manufacturers

Acocarb Mexic
Celdaz India, Peru
Dabaz Brazilia, India
Dacarba India
Dacarbazin Austria, Malaezia, Polonia, Ungaria
Dacarbazina Argentina, Brazilia, Chilli, Columbia, Ecuador, Italia, Mexic, Peru, Spania
Dacarbazine Australia, Belgia, Canada, Danemarca, India, Iran, Irlanda, Marea Britanie, noua Zeelandă, SUA, Suedia
Dacarex India
Dacarin India
Dacarpalm Peru
Dacarzine India
Dacin Elvetia, Slovenia
Dacmed India
Daracina Columbia
Deticene Arabia Saudita, Franta, Grecia, Olanda, Portugalia
Detimedac Columbia, Germania, Romania, Tunisia
DTIC Austria, noua Zeelandă, SUA
Fauldetic Portugalia
Oncocarbil Argentina, Ecuador, Peru
Tiferomed Mexic
Stabilitatea in solutie   Injectabil   Stabilitatea in solutie : Dacarbazine     
Continut Solvent Concentratie Temperatura Conservare Durata stabilității Bibiografie
sticla apa pentru preparate injectabile 10 mg/ml 25°C Ferit de lumina
15 Ora
3266
Documentele de stabilitate ale producătorului

sticla apa pentru preparate injectabile 10 mg/ml 6-8°C Ferit de lumina
14 Ziua
3266
Documentele de stabilitate ale producătorului

sticla apa pentru preparate injectabile 11 mg/ml 2-6°C Ferit de lumina
7 Ziua
1635
Nivel de evidență B

sticla apa pentru preparate injectabile 11 mg/ml 20-25°C Ferit de lumina
96 Ora
1635
Nivel de evidență B

sticla clorura de sodiu 0,9% 0,64 mg/ml 23°C Ferit de lumina
48 Ora
1501
Nivel de evidență A

sticla clorura de sodiu 0,9% 0,64 mg/ml 4°C Ferit de lumina
48 Ora
1501
Nivel de evidență A

clorura de polivinil clorura de sodiu 0,9% 0,64 mg/ml 23°C Ferit de lumina
48 Ora
1501
Nivel de evidență A

clorura de polivinil clorura de sodiu 0,9% 0,64 mg/ml 4°C Ferit de lumina
48 Ora
1501
Nivel de evidență A

clorura de polivinil clorura de sodiu 0,9% 1,6 mg/ml 4°C Ferit de lumina
30 Ziua
40
Nivel de evidență D

clorura de polivinil Glucoza 5% 1,4 mg/ml 2-6°C Ferit de lumina
168 Ora
1635
Nivel de evidență B

clorura de polivinil Glucoza 5% 1,4 mg/ml 20°C-25°C Ferit de lumina
72 Ora
1635
Nivel de evidență B

clorura de polivinil Glucoza 5% 1,6 mg/ml 4°C Ferit de lumina
30 Ziua
40
Nivel de evidență D

polietilen clorura de sodiu 0,9% 0,64 mg/ml 23°C Ferit de lumina
48 Ora
1501
Nivel de evidență A

polietilen clorura de sodiu 0,9% 0,64 mg/ml 4°C Ferit de lumina
48 Ora
1501
Nivel de evidență A

neprecizat clorura de sodiu 0,9% mg/ml 25°C Ferit de lumina
9 Ora
3266
Documentele de stabilitate ale producătorului

neprecizat clorura de sodiu 0,9% mg/ml 6-8°C Ferit de lumina
6 Ziua
3266
Documentele de stabilitate ale producătorului

neprecizat Glucoza 5% mg/ml 25°C Ferit de lumina
9 Ora
3266
Documentele de stabilitate ale producătorului

neprecizat Glucoza 5% mg/ml 6-8°C Ferit de lumina
6 Ziua
3266
Documentele de stabilitate ale producătorului


  Mentions Légales