Son güncelleme :
18/03/2026
Antidot   Sugammadex  
Enjeksiyon
Çözeltilerin stabilitesi Karışımlardaki stabilitesi Stabiliteyi etkileyen faktörler Uyumluluk Uygulama yöntemi Kaynaklar pdf
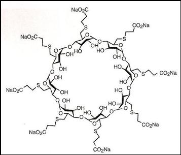
   Kimyasal yapı   

Ticari isim   Ticari isim     

Trade names are indicative and excipients composition can be different depending on the country and manufacturers

Bridion Almanya, Arjantin, Avustralya, Belçika, Brezilya, Büyük Britanya, Danimarka, Ekvador, Fransa, İrlanda, İspanya, İsviçre, İtalya, İzlanda, Japonya, Kolombiya, Lüksemburg, Macaristan, Malezya, Meksika, Norveç, Peru, Portekiz, Romanya, Şili, Türkiye, yeni Zelanda
Desintunev Meksika
Sagomyl Şili
Sugadion Şili
Sugamastar Peru
Sugammadex Belçika, Finlandiya, İrlanda, İspanya, İtalya, Macaristan, Şili
Suvitali Meksika
Çözeltilerin stabilitesi   Enjeksiyon    Çözeltilerin stabilitesi : Sugammadex     
Saklama kabı Çözücü Konsantrasyon Isı Saklama    Stabilite süresi Kaynaklar
Belirtilmemiş Sodyum klorür % 0,9 10 mg/ml 2-8°C Belirtilmemiş
48 Zaman
2328
Üreticinin stabilite verileri

Belirtilmemiş Sodyum klorür % 0,9 10 mg/ml 25°C Belirtilmemiş
48 Zaman
2328
Üreticinin stabilite verileri


  Mentions Légales