Poslední aktualizace :
17/12/2025
Antidotum   Sugammadex  
injekce
Stabilita roztoků Stabilita směsí Faktory ovlivňující stabilitu Kompatibilita Způsoby aplikace Odkazy pdf
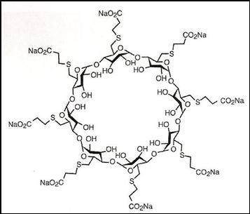
   Chemický vzorec  

Obchodní název   Obchodní název     

Trade names are indicative and excipients composition can be different depending on the country and manufacturers

Bridion äpanÏlsko, Argentina, Austrálie, Belgie, BrazÌlie, Chile, Dánsko, Ekvádor, Francie, Irsko, Island, Itálie, Japonsko, Kolumbie, Lucembursko, Malajsie, MaÔarsko, Mexiko, NÏmecko, Norsko, nový Zéland, Peru, Portugalsko, Rumunsko, Švýcarsko, Turecko, Velká Británie
Desintunev Mexiko
Sagomyl Chile
Sugadion Chile
Sugamastar Peru
Sugammadex äpanÏlsko, Belgie, Chile, Finsko, Irsko, Itálie, MaÔarsko
Suvitali Mexiko
Stabilita roztoků   injekce   Stabilita roztoků : Sugammadex     
Obal RozpouötÏdlo Koncentrace Teplota Uchovávání Trvání stability Odkazy
Nespecifikováno Chlorid sodný 0,9% 10 mg/ml 2-8°C Nespecifikováno
48 Hodina
2328
Údaje o stabilitě od výrobce

Nespecifikováno Chlorid sodný 0,9% 10 mg/ml 25°C Nespecifikováno
48 Hodina
2328
Údaje o stabilitě od výrobce


  Mentions Légales