Seneste opdatering :
18/03/2026
Antidot   Sugammadex  
Injektion
Stabilitet i (vandige) opløsninger Stabilitet i blandinger Faktorer der påvirker stabiliteten Kompatibilitet Administrationsvej Bibliografi pdf
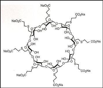
   Kemisk struktur  

Handelsnavn   Handelsnavn     

Handel navne er vejledende og hjælpestoffer sammensætning kan være forskellig afhængigt af landet og laboratorier

Bridion Argentina, Australien, Belgien, Brasilien, Chile, Colombia, Danmark, Ecuador, Frankrig, Irland, Island, Italien, Japan, Luxemborg, Malaysia, Marokko, Mexico, New Zealand, Norge, Portugal, Rumænien, Schweiz, Spanien, Storbritanien, Tyrkiet, Tyskland, Ungarn
Desintunev Mexico
Sagomyl Chile
Sugadion Chile
Sugamastar Marokko
Sugammadex Belgien, Chile, Finland, Irland, Italien, Spanien, Ungarn
Suvitali Mexico
Stabilitet i (vandige) opløsninger   Injektion   Stabilitet i (vandige) opløsninger : Sugammadex     
Beholder Opløsningsmiddel Koncentration Temperatur Konservering Varighed af stabilitet Bibliografi
Ikke angivet nærmere 0,9 % Natriumklorid 10 mg/ml 2-8°C Ikke nærmere angivet
48 Time
2328
Producentens stabilitet data

Ikke angivet nærmere 0,9 % Natriumklorid 10 mg/ml 25°C Ikke nærmere angivet
48 Time
2328
Producentens stabilitet data


  Mentions Légales