viimane versioon :
17/12/2025
antidoot   Sugammadex  
Süsteravim
Stabiilsus lahustes Stabiilsust mõjutavad tegurid stabiilsust mõjutavad faktorid Sobimatus Manustamis viis Viited pdf
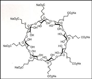
   keemiline struktuur  

Kaubanduslikud nimed erinevates maades   Kaubanduslikud nimed erinevates maades     

Preparaatide nimed on näitlikud ja abianete sisaldus võib erineda sõltuvalt riigist ja laborist

Bridion Argentiina, Austraalia, Belgia, Brasiilia, Ecuador, Hispaania, Iirimaa, Island, Itaalia, Jaapan, Kolumbia, Luksemburg, Malaisia, Maroko, Mehhiko, Norra, Portugal, Prantsusmaa, Rumeenia, Saksamaa, Suurbritannia, Sveits, Taani, Tšiili, Türgi, Ungari, uus-Meremaa
Desintunev Mehhiko
Sagomyl Tšiili
Sugadion Tšiili
Sugamastar Maroko
Sugammadex Belgia, Hispaania, Iirimaa, Itaalia, Soome, Tšiili, Ungari
Suvitali Mehhiko
Stabiilsus lahustes   Süsteravim   Stabiilsus lahustes : Sugammadex     
konteiner lahusti kontsentratsioon temperatuur ladustamine Stabiilsuse kestus Viited
pole täpsustatud naatriumkloriid 0.9% 10 mg/ml 2-8°C pole täpsustatud
48 Tund
2328
Tootja info stabiilsuse kohta

pole täpsustatud naatriumkloriid 0.9% 10 mg/ml 25°C pole täpsustatud
48 Tund
2328
Tootja info stabiilsuse kohta


  Mentions Légales