Ultimele actualizari :
18/03/2026
Antidot   Sugammadex  
Injectabil
Stabilitatea in solutie Stabilitatea in amestec Factorii care influenteaza stabilitatea Compatibilitate Microunde Bibliografie pdf
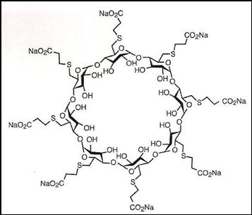
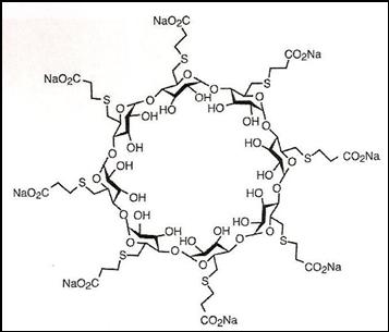
   Formula chimica  

Denumirea comerciala   Denumirea comerciala     

Trade names are indicative and excipients composition can be different depending on the country and manufacturers

Bridion Argentina, Australia, Belgia, Brazilia, Chilli, Columbia, Danemarca, Ecuador, Elvetia, Franta, Germania, Irlanda, Islanda, Italia, Japonia, Luxemburg, Malaezia, Marea Britanie, Mexic, Norvegia, noua Zeelandă, Peru, Portugalia, Romania, Spania, Turcia, Ungaria
Desintunev Mexic
Sagomyl Chilli
Sugadion Chilli
Sugamastar Peru
Sugammadex Belgia, Chilli, Finlanda, Irlanda, Italia, Spania, Ungaria
Suvitali Mexic
Stabilitatea in solutie   Injectabil   Stabilitatea in solutie : Sugammadex     
Continut Solvent Concentratie Temperatura Conservare Durata stabilității Bibiografie
neprecizat clorura de sodiu 0,9% 10 mg/ml 2-8°C Neprecizat
48 Ora
2328
Documentele de stabilitate ale producătorului

neprecizat clorura de sodiu 0,9% 10 mg/ml 25°C Neprecizat
48 Ora
2328
Documentele de stabilitate ale producătorului


  Mentions Légales