Laatste update :
18/03/2026
Antidotum   Sugammadex  
injecteerbaar geneesmiddel
Stabiliteit in oplossing Stabiliteit in mengsels Factoren die de stabiliteit beïnvloeden Verenigbaarheden Toedieningswijze Literatuur pdf
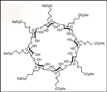
   Molecuulstructuur  

Merknamen in verschillende landen   Merknamen in verschillende landen     

Handelsnamen zijn slechts een indicatie; de samenstelling van hulpstoffen kan per land variëren afhankelijk van de fabrikant

Bridion Argentinië, Australië, België, Brazilië, Chili, Colombia, Denemarken, Duitsland, Ecuador, Frankrijk, Groot Britannië, Hongarije, Ierland, IJsland, Italië, Japan, Luxemburg, Maleisië, Mexico, nieuw Zeeland, Noorwegen, Peru, Portugal, Roemenië, Spanje, Turkije, Zwitserland
Desintunev Mexico
Sagomyl Chili
Sugadion Chili
Sugamastar Peru
Sugammadex België, Chili, Finland, Hongarije, Ierland, Italië, Spanje
Suvitali Mexico
Stabiliteit in oplossing   injecteerbaar geneesmiddel   Stabiliteit in oplossing : Sugammadex     
Verpakking Oplosmiddel Concentratie Temperatuur Bewaring Duur van de stabiliteit Literatuur
Niet gespecificeerd Natriumchloride 0,9% 10 mg/ml 2-8°C Niet gespecificeerd
48 Uur
2328
Stabiliteitsgegevens van de fabrikant

Niet gespecificeerd Natriumchloride 0,9% 10 mg/ml 25°C Niet gespecificeerd
48 Uur
2328
Stabiliteitsgegevens van de fabrikant


  Mentions Légales