آخر تحديث :
18/03/2026
أدوية الترياق   Sugammadex  
حقن
الاستقرار في حلول استقرار مخاليط العوامل التي تؤثر على الاستقرار التوافق طريقة التعاطي مراجع pdf
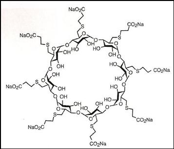
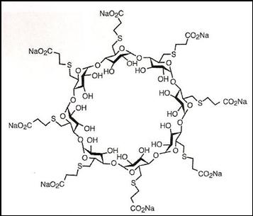
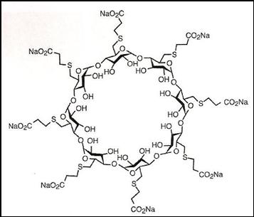
   التركيب الكيميائي  

حجز الاسم التجاري   حجز الاسم التجاري     

تحذير الأسماء التجاريه المختلفه قد تحتوي علي محتوي إضافات مختلفة حسب الدوله و المعمل

Bridion أستراليا, ألمانيا, أيسلندا, إسبانيا, إيطاليا, الأرجنتين, الإكوادور, البرازيل, البرتغال, الدنمارك, المكسيك, النرويج, اليابان, ايرلندا, بريطانيا العظمي, بلجيكا, بيرو, تركيا, تشيلي, رومانيا, زيلاندا الجديدة, سويسرا, فرنسا, كولومبيا, لوكسمبورغ, ماليزيا, هنغاريا
Desintunev المكسيك
Sagomyl تشيلي
Sugadion تشيلي
Sugamastar بيرو
Sugammadex إسبانيا, إيطاليا, ايرلندا, بلجيكا, تشيلي, فنلندا, هنغاريا
Suvitali المكسيك
الاستقرار في حلول   حقن   الاستقرار في حلول : Sugammadex     
حاوية مذيب تركيز درجة الحرارة تخزين مدة الاستقرار مراجع
لم يتم تحديد كلوريد الصوديوم 0.9% 10 mg/ml 2-8°C لم يتم تحديد
48 ساعة
2328
بيانات الشركة المصنعة \\ \'ق الاستقرار

لم يتم تحديد كلوريد الصوديوم 0.9% 10 mg/ml 25°C لم يتم تحديد
48 ساعة
2328
بيانات الشركة المصنعة \\ \'ق الاستقرار


  Mentions Légales